FLIR Report Studio
FLIR Report Studio
| 1.3 | |
![]() |
1 免責条項
1.1 免責条項
1.2 用途に関する統計情報
1.3 用途についての統計情報
1.4 著作権
1.5 品質保証
2 ユーザーへの通知
2.1 ユーザー フォーラム
2.2 トレーニング
2.3 文書の更新
2.4 ソフトウェア アップデート
- [スタート] > [FLIR Systems] > [ソフトウェア] > [アップデートの検索]
- [ヘルプ] > [アップデートの検索]
2.5 このマニュアルについての重要なお知らせ
2.6 追加使用許諾情報
3 ユーザー ヘルプ

3.1 一般
3.2 質問を送信する
- カメラのモデル名
- カメラの製造番号
- カメラとデバイスの間の通信プロトコルまたは方法 (例えば、SD カード リーダー、HDMI、Ethernet、USB、または FireWire)
- デバイス タイプ (PC/Mac/iPhone/iPad/Android デバイスなど)
- FLIR Systems製のプログラムのバージョン
- マニュアルの正式名称、出版番号および改訂番号
3.3 ダウンロード
- 赤外線カメラ用のファームウェア更新。
- PC/Mac ソフトウェア用のプログラム更新。
- PC/Mac ソフトウェアのフリーウェアおよび評価バージョン。
- 最新版、旧版、およびサポートが終了した製品のユーザー マニュアル。
- 機械製図 (*.dxf および *.pdf フォーマット)。
- CAD データ モデル (*.stp フォーマット)。
- 適用事例。
- 技術データシート。
- 製品カタログ。
4 はじめに

- カメラからコンピュータに画像をインポートする
- 任意の赤外画像上で測定ツールを追加、移動、およびサイズ変更する。
- 選択した任意の画像のレポートを Microsoft Word および PDF 形式で作成する。
- レポートにヘッダー、フッター、およびロゴを追加する。
- 独自のレポート テンプレートを作成する。
5 設置
5.1 システム要件
5.1.1 オペレーティング システム
- 32 ビット版 Microsoft Windows 7
- 64 ビット版 Microsoft Windows 7
- 32 ビット版 Microsoft Windows 8
- 64 ビット版 Microsoft Windows 8
- 32 ビット版 Microsoft Windows 10
- 64 ビット版 Microsoft Windows 10
5.1.2 ハードウェア
- デュアルコア 2 GHz プロセッサを搭載したパーソナル コンピュータ。
- 4 GB の RAM (最小—8 GB を推奨)。
- 15 GB 以上の空き容量がある 128 GB のハードディスク ドライブ
- DVD-ROM ドライブ
- DirectX 9 グラフィックのサポートには以下が必要です。
- WDDM ドライバ
- 128 MB 以上のグラフィック メモリ
- Pixel Shader 2.0 (ハードウェア上)
- 32 bpp
- SVGA (1024 x 768) 以上の解像度のモニター
- インターネット接続 (課金される場合があります。)
- オーディオ出力
- キーボードおよび Microsoft マウス、または互換性のあるポインティング デバイス
5.2 FLIR Report Studio のインストール
5.2.1 手順
次の手順に従います。
インストール ファイル flir-report-studio.exe をダブルクリックします。これにより、FLIR Report Studio Setup ウィザードが開始されます。
[I agree to the license terms and conditions] チェック ボックスをオンにします。[Install] をクリックします。これにより、FLIR Report Studio のセットアップが開始されます。
セットアップが完了したら、[Close] をクリックします。
これでインストールは完了です。コンピュータの再起動が要求された場合は、再起動してください。
6 ライセンスの管理
6.1 ライセンスの有効化
6.1.1 一般
- FLIR Report Studio をオンラインで有効化する。
- FLIR Report Studio を電子メールでアクティブ化する。
- FLIR Report Studio を購入し、有効化用のシリアル番号を受け取る。
- 評価期間中、FLIR Report Studio を使用する。
6.1.2 図
図 6.1 有効化ダイアログ ボックス
6.1.3 オンラインでの FLIR Report Studio の有効化
- FLIR Report Studio を起動します。
- ウェブの有効化ダイアログボックスで、[シリアル番号があり、FLIR Report Studio を有効化にする)] を選択します。
- [次へ] をクリックします。
- シリアル番号、名前、会社、メール アドレスを入力します。名前は、ライセンス所有者のものでなければなりません。
図 6.2 オンライン有効化ダイアログ ボックス
- [次へ] をクリックします。
- [Activate now (今すぐ有効にする)] をクリックします。ウェブの有効化プロセスが起動します。
- 「Online activation was successful (オンラインでの有効化が完了しました)」というメッセージが表示されたら、[閉じる] をクリックします。FLIR Report Studio を正常に有効化しました。
6.1.4 電子メールによる FLIR Report Studio のアクティブ化
- FLIR Report Studio を起動します。
- ウェブの有効化ダイアログボックスで、[Activate the product by e-mail (電子メールで製品を有効にする)] をクリックします。
- シリアル番号、名前、会社、メール アドレスを入力します。名前は、ライセンス所有者のものでなければなりません。
- [Request Unlock Key by E-mail (電子メールでロック解除キーを要求する)] をクリックします。
- デフォルトの電子メール クライアントが開き、ライセンス情報が記載された未送信の電子メールが表示されます。
この電子メールの主な目的は、有効化センターにライセンス情報を送信することです。
- [次へ] をクリックします。プログラムが起動し、アンロックキーが届くまでの間も作業を継続することができます。アンロックキーが記載された電子メールは、2 日以内に送信されます。
- ロック解除キーが記載された電子メールが到着したら、プログラムを起動して、テキスト ボックスにロック解除キーを入力します。次の図を参照してください。
図 6.3 ロック解除キー ダイアログ ボックス
6.1.5 インターネットに接続していないコンピュータで FLIR Report Studio を有効にする
- FLIR Report Studio を起動します。
- ウェブの有効化ダイアログボックスで、[Activate the product by e-mail (電子メールで製品を有効にする)] をクリックします。
- シリアル番号、名前、会社、メール アドレスを入力します。名前は、ライセンス所有者のものでなければなりません。
- [Request Unlock Key by E-mail (電子メールでロック解除キーを要求する)] をクリックします。
- デフォルトの電子メール クライアントが開き、ライセンス情報が記載された未送信の電子メールが表示されます。
- 電子メールの内容を変更せずにコピーし (例: USB スティックを使用)、別のコンピュータから [email protected] 宛に電子メールを送信してください。この電子メールの主な目的は、有効化センターにライセンス情報を送信することです。
- [次へ] をクリックします。プログラムが起動し、アンロックキーが届くまでの間も作業を継続することができます。アンロックキーが記載された電子メールは、2 日以内に送信されます。
- ロック解除キーが記載された電子メールが到着したら、プログラムを起動して、テキスト ボックスにロック解除キーを入力します。次の図を参照してください。
図 6.4 ロック解除キー ダイアログ ボックス
6.2 ライセンスの転送
6.2.1 一般
6.2.2 図

図 6.5 ライセンス ビューア (サンプル画像のみ)
6.2.3 手順
- FLIR Report Studio を起動します。
- [ヘルプ] メニューで、[ライセンス情報を表示] を選択します。これにより、上図のようなライセンス ビューアが表示されます。
- ライセンス ビューアで、[Transfer license (ライセンスを転送する)] をクリックします。これにより、無効化ダイアログ ボックスが表示されます。
- 無効化ダイアログ ボックスで、[停止] をクリックします。
- ライセンス転送先のコンピュータで FLIR Report Studio を起動します。コンピュータがインターネットにアクセスすると、ライセンスは自動的に適用されます。
6.3 追加ソフトウェア モジュールの有効化
6.3.1 一般
6.3.2 図

図 6.6 使用可能なソフトウェア モジュールを表示するライセンス ビューア (サンプル画像のみ)
6.3.3 手順
- ソフトウェア モジュールをダウンロードしてインストールします。ソフトウェア モジュールは、一般的にダウンロード リンクが印刷されたスクラッチカードで提供されます。
- FLIR Report Studio を起動します。
- [ヘルプ] メニューで、[ライセンス情報を表示] を選択します。これにより、上図のようなライセンス ビューアが表示されます。
- 購入したモジュールを選択します。
- [アクティベーション キー] をクリックします。
- スクラッチカードのスクラッチ部分をこすって、アクティベーション キーを確認します。
- [アクティベーション キー] テキスト ボックスにキーを入力します。
- [OK] をクリックします。ソフトウェア モジュールが有効化されます。
7 ログイン
7.1 一般
- ログインする際は、コンピュータをインターネットに接続する必要があります。
- ログアウトしない限り、FLIR Report Studio を使用するために再度ログインする必要はありません。
7.2 ログイン手順
次の手順に従います。
FLIR Report Studio を起動します。
[FLIR Login and Registration] ウィンドウが表示されます。
既存の FLIR カスタマー サポート アカウントにログインするには、次のようにします。
- [FLIR Login and Registration] ウィンドウで、ユーザー名とパスワードを入力します。
- [Log In] をクリックします。インターネットの接続環境によっては、FLIR Report Studio の開始に数秒間かかる場合があります。
新しい FLIR カスタマー サポート アカウントを作成するには、次のようにします。
- [FLIR Login and Registration] ウィンドウで、[Create a New Account] をクリックします。これにより、Web ブラウザで [FLIR Customer Support Center] ページが開きます。
- 必要な情報を入力して、[Create Account] をクリックします。
- [FLIR Login and Registration] ウィンドウで、ユーザー名とパスワードを入力します。
- [Log In] をクリックします。インターネットの接続環境によっては、FLIR Report Studio の開始に数秒間かかる場合があります。
7.3 ログアウト
次の手順に従います。
FLIR Report Studio ウィザードの上部のメニュー バーで、右端に表示されているユーザー名をクリックします。
[Log out] をクリックします。
ダイアログ ボックスで、次のいずれかを実行します。
- ログアウトして FLIR Report Studio を終了するには、[Yes] をクリックします。この場合、アプリケーションが閉じて、保存していない作業がすべて失われます。
- キャンセルしてアプリケーションに戻るには、[No] をクリックします。
8 ワークフロー
8.1 一般
- カメラを使用して、熱画像やデジタル画像を撮影してください。
- USB コネクタを使用してカメラをコンピュータに接続します。
- FLIR Report Studio ウィザードを開始し、レポート テンプレートを選択します。
- カメラからコンピュータに画像をインポートします。
- レポートに含めたい画像を選択します。
- FLIR Report StudioImage Editor を使用して、赤外線画像の調整、測定ツールの追加などを行います。
- 次のいずれかを実行します。
- 分析用以外の Microsoft Word レポートを作成します。
- 分析用の Microsoft Word レポートを作成します。
- 電子メールの添付ファイルとしてクライアントにレポートを送信します。
9 赤外線レポートの作成
9.1 一般
9.2 レポートの種類
- 圧縮されたレポート: これは赤外線画像、関連付けられている可視画像、および結果テーブルを含んでいる *.docx ファイル形式のレポートです。このレポートは、Microsoft Word の通常の機能を使用して編集できますが、分析用データは含まれません。
- 編集可能なレポート: これは赤外線画像、関連付けられている可視画像、および結果テーブルを含んでいる *.docx ファイル形式の高度なレポートです。基本的な編集に加え、Microsoft Word で FLIR Word Add-in の機能を使用して高度な放射分析を実行できます。
9.3 FLIR Report Studio ウィザードの画面要素
9.3.1 テンプレート ウィンドウ
9.3.1.1 図

9.3.1.2 説明
- メニュー バー。詳細については、セクション 9.3.3 メニュー バー を参照してください。
- テンプレート カテゴリを含んだ左側のペイン。[すべてのテンプレート] を選択して、FLIR Report Studio で使用可能なすべてのテンプレートを表示するか、テンプレート カテゴリを選択して、特定のレポート テンプレートを見つけます。セクション 13.2.5 テンプレート カテゴリの選択 も参照してください。
- レポート テンプレートを含んだ中央のペイン。
- 基本的なレポート テンプレートから新しいテンプレートを作成するためのボタン。詳細については、セクション 13.2.1 基本的なレポート テンプレートのカスタマイズ を参照してください。
- 選択したレポート テンプレートから新しいテンプレートを作成するためのボタン。詳細については、セクション 13.2.3 既存のテンプレートの修正—FLIR Report Studio ウィザードから開始 を参照してください。
- 選択したレポート テンプレートのプレビューを含んだ右側のペイン。
- ユーザー名。クリックしてログイン情報を表示します。詳細については、セクション 7 ログイン を参照してください。
- [キャンセル] ボタン。クリックして、FLIR Report Studio ウィザードを終了します。これにより、アプリケーションが閉じて、保存していない作業がすべて失われます。
- [次へ] ボタン。クリックして、選択したレポート テンプレートを続行します。
- [テンプレートの参照] ボタン。クリックして、現在のレポートのみで使用するテンプレートを見つけます。
- [テンプレートをインポート] ボタン。クリックして、新しいテンプレートを FLIR Report Studio にインポートします。
9.3.2 画像ウィンドウ
9.3.2.1 図

9.3.2.2 説明
- メニュー バー。詳細については、セクション 9.3.3 メニュー バー を参照してください。
- フォルダ構造を含んだ左側のペイン。[お気に入り] フォルダと [最近使用したファイル] フォルダは、FLIR Report Studio ウィザードのローカルにあります。
- 選択したフォルダ内のファイルを含んだ中央のペイン。
- 選択した画像のプレビューを含んだ右側のペイン。
- ユーザー名。ログアウトするには、クリックして、[ログアウト] を選択します。詳細については、セクション 7.3 ログアウト を参照してください。
- [レポート名] フィールド。
- [データ セクション] ドロップダウン リスト (複数のデータ セクションがあるテンプレートで使用可能です)。ドロップダウン リストを使用して、画像の追加先のデータ セクションを選択します。データ セクションに自動的に画像を追加するには、[自動] を選択します。その場合、このプログラムは、データ セクション内の設定を尊重します。つまり、赤外線画像オブジェクトは、赤外線画像があるデータ セクションに追加され、デジタル写真は、デジタル画像オブジェクトがあるセクションに追加されます。セクション 13.2.4 複数のデータ セクションの追加 も参照してください。
- ボタンの順序を変更したり、ボタンを削除したりします。
- 画像の順序を変更するには、画像を選択し、
(チャプターを上に移動します) または
(チャプターを下に移動します) を選択します。
- レポートから画像を削除するには、画像を選択し、
(チャプターを削除します) をクリックします。
- レポートからすべての画像を削除するには、
(すべてのチャプターを削除します) をクリックします。
- 画像の順序を変更するには、画像を選択し、
- [生成] ボタン。矢印をクリックし、次のいずれかを選択します。
- 完全な分析用データを使用してレポートを生成するには、[編集可能なレポートを生成] を選択します。
- フラットな赤外線画像と結果テーブルを使用して圧縮されたレポートを生成するには、[圧縮レポートを生成] を選択します。
- [前へ] ボタン。クリックしてテンプレート ウィンドウに戻ります。
- [レポート プロパティ] ボタン。クリックして、[レポート プロパティ] ダイアログ ボックスを表示します。詳細については、セクション 9.4 手順 のステップ 10 を参照してください。
- 選択および追加ボタン。
- 中央のペイン内のすべての画像を選択するには、
(このフォルダのすべての画像を選択) をクリックします。
- 中央のペインで選択されている画像をレポートに追加するには、
(選択した画像をレポートに追加) をクリックします。
中央のペイン内のすべての画像をレポートに追加するには、(すべての画像をレポートに追加) をクリックします。
- 中央のペイン内のすべての画像を選択するには、
- ファイル管理ボタン。
- 中央のペイン内のファイルの並べ替え順序を変更するには、
(日付でソート) または
(名前でソート) をクリックします。
- 中央のペインに小さいアイコンでファイルを表示するには、
(小さいアイコン) をクリックします。
- 中央のペインに大きいアイコンでファイルを表示するには、
(大きいアイコン) をクリックします。
- 中央のペイン内のファイルの並べ替え順序を変更するには、
- [インポート] ボタン。クリックして、コンピュータに接続されているカメラから画像をインポートします。詳細については、セクション 10 カメラから画像をインポートする を参照してください。
9.3.3 メニュー バー
9.3.3.1 [ファイル] メニュー
- [セッションの保存]。クリックして、セッションを保存します。詳細については、セクション 9.5 セッションの保存 を参照してください。
- [セッションのロード]。クリックして、セッションをロードします。詳細については、セクション 9.5 セッションの保存 を参照してください。
- [終了]。クリックして、FLIR Report Studio ウィザードを終了します。この場合、アプリケーションが閉じて、保存していない作業がすべて失われます。
9.3.3.2 [オプション] メニュー
- [設定]。クリックして、[オプション] ダイアログ ボックスを表示します。詳細については、セクション 9.6 カメラ設定を変更する を参照してください。
9.3.3.3 [ヘルプ] メニュー
- [ドキュメント]。クリックし、[オンライン] を選択してインターネットから最新のヘルプ ファイルを表示するか、[オフライン] をクリックして、コンピュータにインストールされているヘルプ ファイルを表示します。
- [FLIR ストア]。クリックして、FLIR ストア Web サイトに移動します。
- [FLIR サポート センター]。クリックして、FLIR サポート センターに移動します。
- [ライセンス情報]。クリックして、ライセンス ビューアを表示します。
- [FLIR ライセンスの検証] (FLIR Report Studio ライセンスをまだアクティベーションしていない場合に有効になります)。クリックして、アクティベーション ダイアログ ボックスを開きます。詳細については、セクション 6 ライセンスの管理 を参照してください。
- [アップデートの検索]。クリックして、ソフトウェア アップデートを確認します。詳細については、セクション 15 ソフトウェアの更新 を参照してください。
- [バージョン情報]。クリックして、FLIR Report Studio の現在のバージョンを表示します。
9.4 手順
次の手順に従います。
次のいずれかの操作を実行して、FLIR Report Studio ウィザードを開始します。
- [スタート] メニューから [FLIR Report Studio] を選択します ([スタート] > [すべてのプログラム] > [FLIR Systems] > [FLIR Report Studio])。
- Microsoft Word ドキュメントの [FLIR] タブで、[新しいレポート] をクリックします。
左側のペインで、[すべてのテンプレート] を選択し、FLIR Report Studio で使用可能なすべてのテンプレートを表示するか、テンプレート カテゴリを選択して、特定のレポート テンプレートを見つけます。
中央のペインで、レポート テンプレートをクリックします。選択したレポート テンプレートの各ページのプレビューが右側のペインに表示されます。
選択したテンプレートで続行するには、ウィンドウの下部にある [次へ] をクリックします。
左側のペインで、レポートに含める画像が含まれているフォルダを選択します。ウィンドウの左下で [インポート] をクリックして、コンピュータに接続されているカメラから画像をインポートすることもできます。
レポートに画像を追加するには、次の 1 つまたは複数の操作を実行します。
- クリックして画像を選択します。複数の画像を選択するには、Ctrl キーまたは Shift キー、あるいはその両方を押しながらクリックします。その後、次のいずれかの操作を実行します。
- 画像をドラッグして右側のペインにドロップします。
- 中央のペインの下部にある
(選択した画像をレポートに追加) をクリックします。
- 中央のペインからすべての画像を追加するには、中央のペインの下部にある
(すべての画像をレポートに追加) をクリックします。
- フォルダ内のすべての画像を追加するには、次のいずれかの操作を実行します。
- 左側のペインからフォルダをドラッグして右側のペインにドロップします。
- フォルダを右クリックし、[レポートに追加] をクリックします。
右側のペインで、次の操作を実行できます。
- 画像の順序を変更するには、画像を選択し、
(チャプターを上に移動します) または
(チャプターを下に移動します) を選択します。
- レポートから画像を削除するには、画像を選択し、
(チャプターを削除します) をクリックします。
- レポートからすべての画像を削除するには、
(すべてのチャプターを削除します) をクリックします。
画像を編集するには、次のいずれかの操作を実行します。
- 画像を右クリックし、[画像の編集] を選択します。
- 画像をダブルクリックします。
これにより、FLIR Report StudioImage Editor が開きます。詳細については、セクション 11 画像の分析と編集 を参照してください。
ウィンドウの上部の [レポート名] フィールドにレポートの名前を入力します。
ウィンドウの下部にある [生成] 矢印をクリックします。次のいずれかを選択します。
- 完全な分析用データを使用してレポートを生成するには、[編集可能なレポートを生成] を選択します。
- フラットな赤外線画像と結果テーブルを使用して圧縮されたレポートを生成するには、[圧縮レポートを生成] を選択します。
[レポート プロパティ] ダイアログ ボックスが表示されます。
次の 1 つまたは複数の操作を実行してください。
- 顧客情報と検査に関する情報を事前に定義されたフィールドに入力します。
- 以前に保存されたテキスト ファイルからプロパティをインポートするには、[インポート] をクリックします。
- 新しいプロパティを追加するには、[追加] をクリックします。
- プロパティを上または下に移動するには、プロパティを選択し、矢印ボタン
または
を使用します。
- プロパティを削除するには、プロパティを選択し、[削除] をクリックします。
- 現在のプロパティ設定をエクスポートするには、[エクスポート] をクリックします。
表示されているプロパティでレポートを作成するには、[OK] をクリックします。これにより、レポートが生成され、[設定] で指定されたレポート フォルダに保存されます。詳細については、セクション 9.6 カメラ設定を変更する を参照してください。
レポートが Microsoft Word ドキュメントとして開きます。選択した画像と、[レポート プロパティ] ダイアログ ボックスに入力した情報が、レポート内の対応するプレースホルダに入力されます。
(編集可能なレポートに適用されます。) 画像を編集するには、次のいずれかの操作を実行します。
- 画像をクリックします。[FLIR] タブで、[画像エディタ] をクリックします。
- 画像を右クリックし、[画像の編集] を選択します。
- 画像をダブルクリックします。
これにより、FLIR Report StudioImage Editor が開きます。詳細については、セクション 11 画像の分析と編集 を参照してください。
(編集可能なレポートに適用されます。) レポート内のオブジェクトを修正するには、セクション 12.2 レポートのオブジェクトの管理 を参照してください。
レポートを保存します。
9.5 セッションの保存
- セッションを保存するには、[ファイル] > [セッションの保存] を選択します。
- セッションをロードするには、[ファイル] > [セッションのロード] を選択します。
9.6 カメラ設定を変更する
次の手順に従います。
[オプション] > [設定] を選択します。
[レポート] タブで、レポートの作成に関連する設定を選択できます。
- [レポート フォルダ]。新しいレポートのデフォルトの保存先フォルダ。
- [テンプレート フォルダ]。レポート テンプレートが置かれているフォルダ。
- [レポート ファイル名のプロンプト]。このチェック ボックスをオンにすると、レポートが保存される前に [名前を付けて保存] ダイアログ ボックスが表示されます。
- [赤外線画像を追加したときに、関連付けられている可視画像を自動的に追加する]。グループ化されたカメラ画像に適用されます。赤外線画像をレポートに追加するときに赤外線画像に関連付けられているグループ化された画像を追加します。
- [レポート生成中にレポート プロパティのことを聞かない]。このチェック ボックスをオンにすると、[レポート プロパティ] ダイアログ ボックスを先に表示せずにレポートが生成されます。
- [空のグループ プレースホルダをレポートから削除]。このチェック ボックスをオンにすると、画像が追加されていないプレースホルダがレポートから削除されます。
- [レポートが生成されたらアプリケーションを閉じる]。このチェック ボックスをオンにすると、レポートが生成された後に FLIR Report Studio ウィザードが閉じます。
- [画像のオーバーレイを維持]。このチェック ボックスをオンにすると、赤外線画像とともに画像ファイルに保存されているオーバーレイが表示されます。
[単位] タブで、温度単位や距離単位に関連する設定を選択できます。
- [テンプレートの単位を使用] チェック ボックスをオンにすると、レポート テンプレートで指定された単位の設定を適用されます。テンプレートで設定されている単位がない場合、[温度] フィールドと [距離] フィールドで設定された単位が適用されます。
- [テンプレートの単位を使用] チェック ボックスをオフにすると、[温度] フィールドと [距離] フィールドの単位設定が適用されます。
[インポート] タブで、画像のインポートに関連する設定を選択できます。
- [インポートする画像のデフォルト フォルダ]。コンピュータに接続されているカメラからインポートされる画像のデフォルトのインポート先フォルダ。
- [既存の画像を上書き]。このチェック ボックスをオンにすると、既存の画像が、インポートされた画像に置き換えられます。
- [インポート後にソース画像を削除]。このチェック ボックスをオンにすると、インポート後にカメラ内の画像が削除されます。
10 カメラから画像をインポートする
10.1 一般
10.2 インポート手順
次の手順に従います。
カメラの電源を入れます。
USB ケーブルを使ってカメラをコンピュータに接続します。
FLIR Report Studio ウィザードを開始します。
レポートテンプレートを選択し、ウィンドウの右下にある [次へ] をクリックします。
ウィンドウの左下にある [インポート] をクリックします。
[画像のインポート] ダイアログ ボックスが表示され、カメラに保存された画像を確認できます。複数のフォルダが存在するカメラでは、左側のペインでフォルダを選択できます。
右側のペインで、1 つ以上のチェック ボックスをオンにします。
- [既存の画像を上書き]。
- [インポート後にソース画像を削除]。
複数のフォルダが存在するカメラでは、次のいずれかの操作を実行します。
- すべてのフォルダに含まれたすべての画像をインポートするには、左下にある [すべてのフォルダをインポート] をクリックします。
- 複数のフォルダに含まれたすべての画像をインポートするには、Ctrl キーを押しながら、フォルダを選択します。次に、右下にある [複数のフォルダをインポート] をクリックします。
- 1 つのフォルダに含まれたすべての画像をインポートするには、フォルダを選択してから右下にある [1 つのフォルダをインポート] をクリックします。
- 1 つのフォルダ内の選択した複数の画像をインポートするには、Ctrl キーを押しながら、目的の画像をクリックして選択します。次に、右下にある [複数のアイテムをインポート] をクリックします。
1 つのフォルダしか存在しないカメラでは、次のいずれかの操作を実行します。
- すべての画像をインポートするには、左下にある [すべてインポート] をクリックします。
- 選択した複数の画像をインポートするには、Ctrl キーを押しながら、画像を選択します。次に、右下にある [複数のアイテムをインポート] をクリックします。
[フォルダの参照] ダイアログ ボックスが表示されます。移動先フォルダを選択するか、新規のフォルダを作成します。
画像がコンピュータにインポートされます。
11 画像の分析と編集
11.1 一般
- 測定ツールを追加する
- 赤外線画像を調整する
- 色分布を変更する
- カラー パレットを変更する
- 画像モードを変更する
- カラー アラームおよびアイソサーモを使用する
- 測定パラメータを変更する。
11.2 Image Editor の起動
11.2.1 FLIR Report Studio ウィザードからの Image Editor の起動
次の手順に従います。
次のいずれかを実行します。
- 中央のペインで、画像をダブルクリックします。
- 右側のペインで、画像をダブルクリックします。
11.2.2 FLIR Word Add-in からの Image Editor の起動
次の手順に従います。
次のいずれかを実行します。
- レポート内の画像をダブルクリックします。
- [FLIR] タブで画像を選択し、[画像エディタ] をクリックします。
- 画像を右クリックし、[画像の編集] を選択します。
11.3 Image Editor 画面要素
11.3.1 図

11.3.2 説明
- 測定ツールバー。
- 画像モード ツールバー。
- 温度スケール
- 赤外線画像のサムネイル表示
- デジタル画像のサムネイル表示 (ある場合)
- 結果と情報ペイン:
- メモ
- 測定値
- パラメータ
- 注釈
- 画像情報
- [閉じる] ボタン
- 保存ボタン。
- 自動調整ボタン
- ナビゲーション ボタン。ボタンをクリックして、前の画像/次の画像に移動します。
- ズーム設定ボタン。ボタンをクリックし、定義済みのズーム設定のいずれかを選択します。
- ズーム ボタン。ボタンをクリックして、拡大ボタンと縮小ボタンを表示します。
- パン ボタン。ボタンをクリックし、画像をドラッグして、拡大された画像をパンします。
11.4 基本的な画像編集機能
11.4.1 画像の回転
次の手順に従います。
測定ツールバーで、 (画像と測定値を回転) を選択します。これにより、ツールバーが表示されます。
ツールバーで、次のいずれかの操作を行います。
をクリックして、画像を反時計回りに回転します。
をクリックして、画像を時計回りに回転します。
11.4.2 画像のクロップ
次の手順に従います。
測定ツールバーで (クロップ) を選択します。これにより、画像の上にボックスが表示されます。
ボックスを移動し、サイズを調整して、クロップ領域を選択します。
クロップ領域ボックスで、次のいずれかを実行します。
をクリックして、画像をクロップします。これにより、[名前を付けて保存] ダイアログ ボックスが開きます。
をクリックして、クロップ操作をキャンセルします。
11.5 計測ツールの操作
11.5.1 一般
11.5.2 測定ツールの追加
次の手順に従います。
測定ツールバーで、次のいずれかを選択します。
- スポットを追加するには、
(スポット追加) を選択します。
- ボックスを追加するには、
(ボックス追加) を選択します。
- 楕円を追加するには、
(楕円の追加) をクリックします。
- ラインを追加するには、
(ライン追加) をクリックします。
測定ツールを配置する画像上の場所をクリックします。
11.5.3 測定ツールの移動とサイズ変更
次の手順に従います。
測定ツールバーで、 (選択) を選択します。
測定ツールを移動するには、画像上のツールを選択し、新しい位置にドラッグします。
測定ツールのサイズを変更するには、画像上でツールを選択し、選択ツールを使用して、ツールのフレームの周囲に表示されているハンドルをドラッグします。
11.5.4 測定ツール用ローカル マーカーの作成
11.5.4.1 一般
11.5.4.2 手順
次の手順に従います。
測定ツールバーで、 (選択) を選択します。
ツールを右クリックし、[ローカルの最大/最小/平均マーカー] を選択します。
ダイアログ ボックスで、追加または削除したいマーカーを選択またはクリアします。
[OK] をクリックします。
11.5.5 面積の計算
11.5.5.1 一般
11.5.5.1.1 手順
次の手順に従います。
ボックスまたはサークルの測定ツールを追加します (「11.5.2 測定ツールの追加」のセクションを参照)。
測定する部分のサイズに合わせて、ボックス ツールまたはサークル ツールのサイズを調節します (「11.5.3 測定ツールの移動とサイズ変更」のセクションを参照)。
ツールを右クリックし、[ローカルの最大/最小/平均マーカー] を選択します。ダイアログ ボックスで、[面積] チェック ボックスを選択します。これにより、距離値に基づいて計算された面積が [測定値] ペインに表示されます。
距離値を変更するには、[パラメータ] ペインで値のフィールドをクリックし、新しい値を入力してから、Enter を押します。新しい距離値に基づいて計算し直した面積が [測定値] ペインに表示されます。
11.5.5.1.2 長さの計算
11.5.5.1.2.1 一般
11.5.5.1.2.1.1 手順
次の手順に従います。
ラインの測定ツールを追加します (「11.5.2 測定ツールの追加」のセクションを参照)。
測定する部分のサイズに合わせて、ライン ツールのサイズを調節します (「11.5.3 測定ツールの移動とサイズ変更」のセクションを参照)。
ツールを右クリックし、[ローカルの最大/最小/平均マーカー] を選択します。ダイアログ ボックスで、[長さ] チェック ボックスを選択します。これにより、距離値に基づいて計算された長さが [測定値] ペインに表示されます。
距離値を変更するには、[パラメータ] ペインで値のフィールドをクリックし、新しい値を入力してから、Enter を押します。新しい距離値に基づいて計算し直した面積が [測定値] ペインに表示されます。
11.5.6 差分計算を設定する
11.5.6.1 一般
11.5.6.2 手順
11.5.6.2.1 手順
次の手順に従います。
測定ツールバーで、 (デルタの追加) を選択します。
差分計算が、右側のペインの [測定値] の下に表示されます。
差分計算の設定を変更するには、次の手順を実行します。
- 右側のペインで、
(編集) をクリックします。これにより、ダイアログ ボックスが表示されます。
- ダイアログ ボックスで、測定ツールを選択し、差分計算で使用する値 (最大、最小、または平均) を選択します。固定温度参照を選択することもできます。
差分計算を削除するには、 (削除) をクリックします。
11.5.7 測定ツールの削除
次の手順に従います。
測定ツールバーで、 (選択) を選択します。
画像で測定ツールを選択し、次のいずれかを実行します。
- キーボードの Delete キーを押します。
- ツールを右クリックし、[削除] を選択します。
11.6 赤外線画像を調整する
11.6.1 一般
11.6.2 例 1
![]() 自動
|
![]() 手動
|
11.6.3 例 2
![]() 自動
|
![]() 手動
|
11.6.4 温度レベルを変更する
次の手順に従います。
温度スケールの上限レベルを変更するには、上部スライダを上または下にドラッグします。
温度スケールの下限レベルを変更するには、下部スライダを上または下にドラッグします。

11.6.5 画像の自動調整
次の手順に従います。
画像を自動調整するには、[自動] をクリックします。

11.6.6 自動調整領域の定義
次の手順に従います。
測定ツールバーで、 (自動調整領域を設定) を選択します。
表示されたツールを使用して、領域を作成します。この領域は、関心のあるエリアに合うように移動およびサイズ調整できます。
自動調整領域を削除するには、領域を選択し、次のいずれかを実行します。
- キーボードの Delete キーを押します。
- 領域を右クリックし、[削除] を選択します。
11.7 色分布を変更する
11.7.1 一般
11.7.2 定義
- リニア-温度: 画像のカラー情報がピクセルの温度値に対して直線状に分散する画像表示方法です。
- ヒストグラム平均: 画像の既存の温度にわたってカラー情報が分散する画像表示方法です。この方法により、画像に温度値の非常に高いピークがいくつか存在する場合に、カラー情報を適切に分布させることができます。
- リニア-シグナル: 画像のカラー情報がピクセルの信号値に対して直線状に分散する画像表示方法です。
- デジタル細部強調: これは、画像内の周波数が高いコンテンツ (端や角など) を強調して細部を見やすくする画像表示方法です.
11.7.3 手順
次の手順に従います。
画像を右クリックし、[色分布] を選択します。これにより、メニューが表示されます。
メニューで以下のいずれかを選択します。
- リニア-温度。
- ヒストグラム平均。
- リニア-シグナル。
- デジタル細部強調。
11.8 色パレットを変更する
11.8.1 一般
|
カラーパレット |
画像の例 |
|---|---|
|
アークティック
|
![]() |
|
クール
|
![]() |
|
グレー
|
![]() |
|
アイアン
|
![]() |
|
ラバ
|
![]() |
|
レインボー
|
![]() |
|
レインボー HC
|
![]() |
|
ウォーム
|
![]() |
11.8.2 手順
次の手順に従います。
測定ツールバーで、 (カラー) を選択します。これにより、メニューが表示されます。
このメニューで、使用するパレットをクリックします。
11.9 画像モードの変更
11.9.1 一般
11.9.2 画像モードの種類
|
イメージ モード |
画像の例 |
|---|---|
|
MSX (Multi Spectral Dynamic Imaging): このモードは、対象物のエッジを強調した赤外線画像を表示します。赤外線と写真のバランスを調整できます。
|
![]() |
|
赤外線: このモードは、完全な赤外線画像を表示します。
|
![]() |
|
熱融合: このモードは、温度制限に応じて部分的に赤外線画像になっているデジタル画像を表示します。
|
![]() |
|
赤外線混合: 赤外線ピクセルとデジタル写真のピクセルを組み合わせて使用した混合画像を表示します。赤外線と写真のバランスは調整できます。
|
![]() |
|
ピクチャー イン ピクチャー: このモードは、赤外線画像フレームをデジタル写真の上に表示します。
|
![]() |
|
デジタル カメラ: このモードは、完全なデジタル写真を表示します。
|
![]() |
11.9.3 手順
次の手順に従います。
画像モード ツールバーで、次のいずれかを選択します。
(MSX)
(赤外線)
(熱融合)
(赤外線混合)
(ピクチャー イン ピクチャー)
(デジタル カメラ)
MSX および赤外線混合モードに適用: 赤外線と写真のバランスを調整するには、画像モード アイコンの横にある矢印をクリックし、スライダを左または右にドラッグします。
デジタル カメラ モードに適用: 画像をグレースケールに変更するには、画像モード アイコンの横にある矢印をクリックし、チェック ボックスをオンにします。
11.10 カラー アラームおよびアイソサーモを使用する
11.10.1 一般
- アラーム上: 温度が 1 つ以上の指定された温度レベルを超えている場合、該当するピクセルすべてに対比色を適用します。
- アラーム下: 温度が 1 つ以上の指定された温度レベルを下回っている場合、該当するピクセルすべてに対比色を適用します。
- インターバル アラーム: 温度が 2 つ以上の指定された温度レベルの間にある場合、該当するピクセルすべてに対比色を適用します。
- 湿度アラーム: 相対湿度があらかじめ設定された値よりも高い表面が検出されたときに、アラームを発します。
- 断熱アラーム: 壁に断熱材損傷があるときにアラームを発します。
- カスタム アラーム: このタイプのアラームを使用すると、標準アラームの設定を手動で修正できます。

11.10.2 画像の例
|
カラー アラーム |
画像 |
|---|---|
|
アラーム上
|
![]() |
|
アラーム下
|
![]() |
|
インターバル アラーム
|
![]() |
|
湿度アラーム
|
![]() |
|
断熱アラーム
|
![]() |
11.10.3 アラーム上とアラーム下の設定
次の手順に従います。
測定ツールバーで、 (カラー) を選択します。これにより、メニューが表示されます。
メニューで以下のいずれかを選択します。
- アラーム上。
- アラーム下。
右側のペインで、パラメータ [限界] の値を記録しておきます。この温度よりも高いまたは低い温度を持つ画像のエリアには、アイソサーモの色が付きます。このリミットは、変更が可能です。また、アイソサーモの色も [カラー] メニューで変更できます。
11.10.4 インターバル アラームの設定
次の手順に従います。
測定ツールバーで、 (カラー) を選択します。これにより、メニューが表示されます。
メニューで、インターバル アラームを選択します。
右側のペインで、パラメータ [上限] および [下限] の値を記録しておきます。これら 2 つの温度の中間の温度を持つ画像のエリアには、アイソサーモの色が付きます。これらのリミットは、変更が可能です。また、アイソサーモの色も [カラー] メニューで変更できます。
11.10.5 湿度アラームのセットアップ
11.10.5.1 一般
11.10.5.2 手順
次の手順に従います。
測定ツールバーで、 (カラー) を選択します。これにより、メニューが表示されます。
メニューで、[湿度アラーム] を選択します。対象となるオブジェクトに応じて、特定のエリアにアイソサーモの色が付きます。
右側のペインで、パラメータ [限界計算値] の値を記録しておきます。これは、湿度のリスクが発生する温度です。パラメータ [相対湿度限界値] が 100% に設定されている場合は、この値が露点 (湿気が水に凝固する温度) となります。
11.10.6 断熱アイソサーモのセットアップ
11.10.6.1 一般
11.10.6.2 手順
次の手順に従います。
測定ツールバーで、 (カラー) を選択します。これにより、メニューが表示されます。
メニューで、[断熱アラーム] を選択します。対象となるオブジェクトに応じて、特定のエリアにアイソサーモの色が付きます。
右側のペインで、パラメータ [断熱計算値 の値を記録しておきます。これは、断熱レベルが建物構造を透過するエネルギー漏出量のあらかじめ設定された値よりも低くなる温度です。
11.10.7 カスタム アラームの設定
11.10.7.1 一般
- アラーム上。
- アラーム下。
- インターバル アラーム。
- 湿度アラーム。
- 断熱アラーム。
- 背景.
- 色 (半透過または塗りつぶし色)
- 区間反転 ([区間] アイソサーモのみ)
11.10.7.2 手順
次の手順に従います。
測定ツールバーで、 (カラー) を選択します。これにより、メニューが表示されます。
メニューで、[カスタム アラーム] を選択します。
右側のペインで、次のパラメータを指定します。
- [以上] および [以下] の場合:
- 背景.
- 限界.
- カラー.
- [区間] の場合:
- 背景.
- 上限.
- 下限.
- カラー.
- 区間反転.
- [湿度] の場合:
- 背景.
- 相対湿度.
- 相対湿度限界値.
- 大気温度.
- カラー.
- [断熱] の場合:
- 背景.
- 屋内温度.
- 屋外温度.
- 絶縁係数 (0–1)。
- カラー.
11.11 測定ツールのローカル パラメータの変更
11.11.1 一般
- 画像で、測定ツールの横にアスタリスク (*) が表示されます。
- Image Editor の結果テーブルで、測定値の横にアイコンが表示されます。
- 赤外線レポートの結果フィールドおよび表で、アスタリスク (*) が表示され、ローカル パラメータ値が括弧で囲まれて表示されます。
11.11.2 手順
次の手順に従います。
測定ツールバーで、 (選択) を選択します。
ツールを右クリックし、[ローカル パラメータ] を選択します。
ダイアログ ボックスで、[ローカル パラメータの使用] を選択します。
1 つまたは複数のパラメータの値を入力します。
[OK] をクリックします。
11.12 注釈の操作
11.12.1 一般
11.12.2 画像詳細について
11.12.2.1 画像詳細とは
11.12.2.1.1 手順
- 右側のペインで、[メモ] の下にあるフィールドに、画像の説明を入力します。
11.12.3 テキスト注釈について
11.12.3.1 テキスト注釈とは
11.12.3.2 画像のテキスト注釈の作成
次の手順に従います。
右側のペインの [テキスト注釈] の下で、次のいずれかを実行します。
をクリックします。これにより、[テキスト注釈] ダイアログ ボックスが開きます。
目的のラベルと値を入力します。例として、以下の図を参照してください。
12 Microsoft Word 環境での作業
12.1 FLIR Word Add-in 画面要素
12.1.1 [FLIR] タブ

- 新しいレポートを作成するには、[新しいレポート] をクリックします。これにより、FLIR Report Studio ウィザードが開始されます。詳細については、セクション 9 赤外線レポートの作成 を参照してください。
- 赤外線画像オブジェクトを追加するには、[赤外線画像] をクリックします。赤外線画像をオブジェクトは、レポートが作成されるときに赤外線画像を自動的にロードするプレースホルダです。詳細については、セクション 12.2.2 赤外線画像オブジェクトの挿入 を参照してください。
- デジタル画像オブジェクトを挿入するには、[デジタル画像] をクリックします。デジタル画像オブジェクトは、赤外線画像に関連付けられている可視画像のプレースホルダです。詳細については、セクション 12.2.3 デジタル画像オブジェクトの挿入 を参照してください。
- フィールド オブジェクトを挿入するには、[フィールド] をクリックします。フィールド オブジェクトは、レポートが作成されるときに赤外線画像に関連付けられている情報を自動的に表示するプレースホルダです。詳細については、セクション 12.2.4 フィールド オブジェクトの挿入 を参照してください。
- 表オブジェクトを挿入するには、[表] をクリックします。表オブジェクトは、レポートが作成されるときに赤外線画像に関連付けられている特定の情報を含んだ表を自動的に表示するプレースホルダです。詳細については、セクション 12.2.5 表オブジェクトの挿入 を参照してください。
- レポート プロパティ オブジェクトを挿入するには、[レポート プロパティ] をクリックします。レポート プロパティ オブジェクトは、レポートが作成されるときに顧客情報と検査に関する情報を自動的に表示するプレースホルダです。詳細については、セクション 12.2.6 レポート プロパティ オブジェクトの挿入 を参照してください。
- 画像を編集するには、赤外線画像を選択し、[画像エディタ] をクリックします。これにより、FLIR Report StudioImage Editor が起動されます。詳細については、セクション 11 画像の分析と編集 を参照してください。
- [新しいテンプレートを作成] 矢印をクリックし、次のいずれかを実行します。
- 基本的なレポート テンプレートをカスタマイズして新しいレポート テンプレートを作成するには、[新しいテンプレートを作成] をクリックします。
- 既存のレポート テンプレートを修正して新しいレポート テンプレートを作成するには、[既存のテンプレートから作成] をクリックします。
詳細については、セクション 13 レポート テンプレートの作成 を参照してください。 - [設定] メニューを表示するには、[設定] 矢印をクリックします。詳細については、セクション 12.1.2 [設定] メニュー を参照してください。
- [エクスポート] グループで、矢印をクリックし、次のいずれかを実行します。
- レポートをフラット レポートとしてエクスポートするには、[フラット Docx] をクリックします。フラット レポートは引き続き通常の Microsoft Word の機能を使用して編集できますが、画像、フィールド、表オブジェクトの管理はできなくなります。
- レポートを、編集できない PDF レポートとしてエクスポートするには、[PDF] をクリックします。
詳細については、セクション 12.7 レポートのエクスポート を参照してください。 - 赤外線画像のアイテムについて、詳細な計算を実行する式を作成するには、[式マネジャー] をクリックします。詳細については、セクション 12.4 式の操作 を参照してください。
- (FLIR Report Studio ライセンスをまだアクティベーションしていない場合に使用可能です。) クリックして、アクティベーション ダイアログ ボックスを開きます。詳細については、セクション 6 ライセンスの管理 を参照してください。
12.1.2 [設定] メニュー
- [ページ番号の更新]。クリックして、画像に関連するフィールドのページ番号を更新します。
- [単位の設定]。クリックして、使用する温度と距離の単位を設定します。詳細については、セクション 12.9 カメラ設定を変更する を参照してください。
- [テンプレート カテゴリ] (レポート テンプレートを作成するときに使用可能です)。クリックして、レポート テンプレートのカテゴリを選択します。詳細については、セクション 13.2.5 テンプレート カテゴリの選択 を参照してください。
- [ヘルプ]。クリックして、[ヘルプ] メニューを表示します。セクション 12.1.2.1 [ヘルプ] メニュー を参照してください。
12.1.2.1 [ヘルプ] メニュー
- [ドキュメント]。クリックし、[オンライン] を選択してインターネットから最新のヘルプ ファイルを表示するか、[オフライン] をクリックして、コンピュータにインストールされているヘルプ ファイルを表示します。
- [FLIR ストア]。クリックして、FLIR ストア Web サイトに移動します。
- [FLIR サポート センター]。クリックして、FLIR サポート センターに移動します。
- [ライセンス情報]。クリックして、ライセンス ビューアを表示します。
- [アップデートの検索]。クリックして、ソフトウェア アップデートを確認します。詳細については、セクション 15 ソフトウェアの更新 を参照してください。
- [バージョン情報]。クリックして、FLIR Word Add-in の現在のバージョンを表示します。
12.2 レポートのオブジェクトの管理
12.2.1 General
12.2.2 赤外線画像オブジェクトの挿入
次の手順に従います。
レポート内で赤外線画像を表示する場所にポインタを置きます。
[FLIR] タブで、[赤外線画像] をクリックします。これにより、赤外線画像のプレースホルダがページに表示されます。
レポートを修正している場合は、プレースホルダ内で赤外線画像を開くことができます。セクション 12.2.8 画像の置き換え を参照してください。
レポート テンプレートを作成している場合は、画像を一切開かずにプレースホルダをそのまま残すことができます。
12.2.3 デジタル画像オブジェクトの挿入
次の手順に従います。
レポート内でデジタル画像を表示する場所にポインタを置きます。
[FLIR] タブで、[デジタル画像] をクリックします。
レポート内に複数の赤外線画像がある場合、[リファレンスを閉じる] ダイアログ ボックスが表示されます。挿入するデジタル画像が関連付けられている赤外線画像をクリックし、[OK] をクリックします。
レポート内に 1 つの赤外線画像のみがある場合、関連付けられているデジタル画像が自動的に挿入されます。
デジタル画像のプレースホルダがページに表示されます。プレースホルダの番号は関連付けられている赤外線画像を参照します。
12.2.4 フィールド オブジェクトの挿入
12.2.4.1 一般
12.2.4.2 手順
次の手順に従います。
レポート内でフィールド オブジェクトを表示する場所にポインタを置きます。
[FLIR] タブで、[フィールド] をクリックします。
レポート内に複数の画像がある場合、[リファレンスを閉じる] ダイアログ ボックスが表示されます。フィールド オブジェクトに入力するときにリファレンスとして使用する画像をクリックし、[OK] をクリックします。
レポート内に画像が 1 つしか存在しない場合、フィールド オブジェクトはその画像に自動的に接続されます。
[フィールドの挿入] ダイアログ ボックスが表示されます。
[グループ化] ペインと [フィールド] ペインを使用して、フィールド オブジェクトに表示するコンテンツを選択します。フィールド オブジェクトのプレビュー (ラベルと値) がダイアログ ボックスに表示されます。
次のいずれかを実行します。
- [タイトルの挿入] チェック ボックスをオンにすると、レポートにラベルと値が表示されます。
- [タイトルの挿入] チェック ボックスをオフにすると、レポートに値のみが表示されます。
[OK] をクリックします。
レポートに、選択したコンテンツを含んだフィールド オブジェクトが表示されます。
12.2.5 表オブジェクトの挿入
12.2.5.1 一般
- 測定値
- パラメータ
- METERLiNK
- 測位
- カメラ情報
- ファイルの情報
- テキスト注釈
- メモ
- 式
12.2.5.2 表オブジェクトの挿入
次の手順に従います。
レポート内で表オブジェクトを表示する場所にポインタを置きます。
[FLIR] タブで、[表] をクリックします。
レポート内に複数の画像がある場合、[リファレンスを閉じる] ダイアログ ボックスが表示されます。表オブジェクトに入力するときにリファレンスとして使用する画像をクリックし、[OK] をクリックします。
レポート内に画像が 1 つしか存在しない場合、表オブジェクトはその画像に自動的に接続されます。
[表の挿入] ダイアログ ボックスが表示されます。
[表] ペインと [表アイテム] ペインを使用して、表オブジェクトに表示するコンテンツを選択します。
表の構造的なプレビューがダイアログ ボックスに表示されます。表アイテムの順序を変更するには、プレビュー内で行をクリックし、矢印ボタン または
をクリックします。
次のいずれかを実行します。
- [ヘッダーの挿入] チェック ボックスをオンにすると、レポート内にヘッダー付きの表が表示されます。
- [ヘッダーの挿入] チェック ボックスをオフにすると、レポート内にヘッダーのない表が表示されます。
[OK] をクリックします。
レポートに、選択したコンテンツを含んだ表オブジェクトが表示されます。
12.2.5.3 カスタム表オブジェクトの作成
次の手順に従います。
レポート内で表オブジェクトを表示する場所にポインタを置きます。
[FLIR] タブで、[表] をクリックします。
レポート内に複数の画像がある場合、[リファレンスを閉じる] ダイアログ ボックスが表示されます。表オブジェクトに入力するときにリファレンスとして使用する画像をクリックし、[OK] をクリックします。
レポート内に画像が 1 つしか存在しない場合、表オブジェクトはその画像に自動的に接続されます。
[表の挿入] ダイアログ ボックスが表示されます。
[作成] ボタンをクリックします。
[表の追加/編集] ダイアログ ボックスが表示されます。
[表の名前] テキスト ボックスに、表の名前を入力します。
[グループ化] ペインと [フィールド] ペインを使用して、表示するコンテンツを選択します。表にアイテムを含めるには、次のいずれかを実行します。
- [フィールド] ペインでアイテムをクリックし、[追加] ボタンをクリックします。
- [フィールド] ペインでアイテムをダブルクリックします。
- [フィールド] ペインでアイテムの上にポインタを移動し、表示される
ボタンをクリックします。
表の構造的なプレビューがダイアログ ボックスに表示されます。表アイテムの順序を変更するには、プレビュー内で行をクリックし、矢印ボタン または
をクリックします。
表アイテムを削除するには、次のいずれかの操作を実行します。
- プレビュー内で行をクリックし、[削除] ボタンをクリックします。
- プレビュー内でアイテムの上にポインタを移動し、表示される
ボタンをクリックします。
[OK] をクリックします。
[表の挿入] ダイアログ ボックスが表示されます。[表] ペインで、[カスタム] の下に表が表示されます。
[表の挿入] ダイアログ ボックスでは、次の操作を実行できます。
- カスタム表を編集するには、[表] ペインで表をクリックし、[編集] ボタンをクリックします。
- カスタム表を削除するには、[表] ペインで表をクリックし、[削除] ボタンをクリックします。
- カスタム表をインポートするには、[インポート] ボタンをクリックします。
- カスタム表をエクスポートするには、[表] ペインで表をクリックし、[エクスポート] ボタンをクリックします。
次のいずれかを実行します。
- [ヘッダーの挿入] チェック ボックスをオンにすると、レポート内にヘッダー付きの表が表示されます。
- [ヘッダーの挿入] チェック ボックスをオフにすると、レポート内にヘッダーのない表が表示されます。
[OK] をクリックします。
レポートに、選択したコンテンツを含んだ表オブジェクトが表示されます。
12.2.5.4 サマリー表の挿入
次の手順に従います。
レポート内でサマリー表を表示する場所にポインタを置きます。
[FLIR] タブで、[表] 矢印をクリックします。これにより、メニューが表示されます。
メニューで、[サマリー表] をクリックします。
[サマリー フィールドの選択] ダイアログ ボックスが表示されます。
[サマリー フィールドの選択] ダイアログ ボックスで、表示されるフィールドは、レポートでフィールド オブジェクト、または表オブジェクト内のアイテムとして使用可能なフィールドです。他のフィールド オブジェクトを追加するには、[追加] をクリックします。これにより、[フィールドの挿入] ダイアログ ボックスが表示されます。
例えば、[ページ番号] フィールド オブジェクトを追加できます。このオブジェクトは、レポート内でデータが表示されるページに表示されます。追加を行うには、[グループ化] ペインで [ファイル情報] を選択し、[フィールド] ペインで [ページ番号] を選択し、[OK] をクリックします。
[サマリー フィールドの選択] ダイアログ ボックスで、サマリー表オブジェクトに表示するラベルを選択します。
表アイテムの順序を変更するには、行をクリックし、矢印ボタン または
をクリックします。
[OK] をクリックします。
レポートに、選択したコンテンツを含んだサマリー表オブジェクトが表示されます。
12.2.6 レポート プロパティ オブジェクトの挿入
次の手順に従います。
レポート内でレポート プロパティ オブジェクトを表示する場所にポインタを置きます。
[FLIR] タブで、[レポート プロパティ] をクリックします。
[レポート プロパティの挿入] ダイアログ ボックスが表示されます。
[レポート プロパティの挿入] ダイアログ ボックスでは、次の操作を実行できます。
- レポート プロパティ オブジェクトに表示するアイテムを選択するには、チェック ボックスを使用します。
- アイテム名を変更するには、[名前] テキスト ボックスにテキストを入力します。
- アイテムの値を変更するには、[値] テキスト ボックスにテキストを入力します。
- 新しい表アイテムを追加するには、[追加] ボタンをクリックします。[名前] テキスト ボックスと [値] テキスト ボックスにテキストを入力します。
- 表アイテムの順序を変更するには、行をクリックし、矢印ボタン
または
をクリックします。
- デフォルトの表アイテムを追加するには、[デフォルトの作成] ボタンをクリックします。
[OK] をクリックします。
レポートに、選択したコンテンツを含んだ表が表示されます。
通常の Microsoft Word の機能を使用して、レポート プロパティ オブジェクトのコンテンツを編集できます。
12.2.7 オブジェクトのリサイズ
12.2.7.1 画像オブジェクトのサイズ変更
次の手順に従います。
レポート ページで、赤外線画像またはデジタル画像オブジェクトをクリックします。
画像オブジェクトを右クリックし、[サイズ変更] を選択します。
画像オブジェクトのサイズを変更するには、いずれかのハンドルをドラッグします。
12.2.7.2 表オブジェクトのサイズ変更
次の手順に従います。
レポート ページで、表オブジェクトを選択します。
[表ツール] タブで、[レイアウト] タブをクリックし、コントロールを使用して表のサイズを変更します。
12.2.8 画像の置き換え
次の手順に従います。
画像オブジェクトを右クリックし、[画像の置換] を選択します。
[開く] ダイアログ ボックスで、新しい画像を見つけて開きます。
12.2.9 オブジェクトの削除
12.2.9.1 画像オブジェクトの削除
次の手順に従います。
レポート ページで、画像オブジェクトをクリックします。
画像の上にラベルが表示されます。ラベルをクリックして、画像オブジェクト全体を選択します。
キーボードの Delete キーを押します。
12.2.9.2 フィールド オブジェクトの削除
次の手順に従います。
レポート ページで、フィールド オブジェクトを選択します。
オブジェクトの上にラベルが表示されます。ラベルをクリックして、オブジェクト全体を選択します。
キーボードの Delete キーを押します。
12.2.9.3 表オブジェクトの削除
次の手順に従います。
レポート ページで、表オブジェクトをクリックします。
Microsoft Word の 状況依存タブである [表ツール] で、[レイアウト] タブをクリックし、[削除] ボタンをクリックします。これにより、メニューが表示されます。
メニューで、[表の削除] をクリックします。
12.3 画像の編集
次の手順に従います。
画像を編集するには、次のいずれかの操作を実行します。
- 画像をクリックします。[FLIR] タブで、[画像エディタ] をクリックします。
- 画像を右クリックし、[画像の編集] を選択します。
- 画像をダブルクリックします。
これにより、FLIR Report StudioImage Editor が開きます。詳細については、セクション 11 画像の分析と編集 を参照してください。
12.4 式の操作
12.4.1 一般
- 式は、1 つの赤外線画像上でのみ実行できます。2 つの赤外線画像の差などは計算できません。
- 赤外線測定値を使用する場合と同じように、赤外線画像内の既存の METERLiNK データを式の値として使用できます。METERLiNK データは、外部の FLIR/Extech メーター (クランプ メーターや水分計など) を赤外線カメラと組み合わせて使用することで、赤外線画像に保存できます。
12.4.2 単純な公式の作成
2 つのスポットの温度差を計算する式の作成
レポートで、赤外線画像オブジェクトを挿入します。セクション 12.2.2 赤外線画像オブジェクトの挿入 を参照してください。
Image Editor で、画像を開きます。セクション 12.3 画像の編集 を参照してください。
画像に 2 つのスポット ツールを追加します。セクション 11.5.2 測定ツールの追加 を参照してください。
[FLIR] タブで、[式マネジャー] をクリックします。
[式マネジャー] ダイアログ ボックスが表示されます。[作成] ボタンをクリックします。
[式の作成] ダイアログ ボックスが表示されます。[フィールド] ボタンをクリックします。
[フィールドとエントリの選択] ダイアログ ボックスが表示されます。
以下を行ってください:
- [グループ化] ペインで、[スポットメーター] をクリックします。
- [エントリ] ペインで、[Sp2] をクリックします。
- [フィールド] ペインで、[温度] をクリックします。
- [OK] をクリックします。
[式の作成] ダイアログ ボックスで、マイナス ボタンをクリックして減算演算子を追加します。
[フィールド] ボタンをクリックします。スポット Sp1 に対して手順 7 を繰り返します。
これで、[式の作成] ダイアログ ボックスに、FLIR Systems 構文を使用する温度差の式が表示されました。
[ラベル] テキストボックスに、レポートで式の結果とともに表示するテキストを入力します。[精度] ボックスに、式の結果の小数点以下の桁数を入力します。
[式の作成] ダイアログ ボックスで、[OK] をクリックします。
[式マネジャー] ダイアログ ボックスで、[OK] をクリックします。
これで、作成された温度差の式をレポート内のフィールド オブジェクトや表オブジェクトに挿入できるようになりました。
12.4.3 条件付き公式の作成
IF 文を使用した条件付き公式の作成
2 つのスポットの温度差を計算する式を作成します。セクション 12.4.2 単純な公式の作成 を参照してください。
[FLIR] タブで、[式マネジャー] をクリックします。
[式マネジャー] ダイアログ ボックスが表示されます。[作成] ボタンをクリックします。
[式の作成] ダイアログ ボックスが表示されます。[IF] ボタンをクリックします。
[「IF」式の作成] ダイアログ ボックスが表示されます。[追加...] ボタンをクリックします。
ダイアログ ボックスが表示されます。
以下を行ってください:
- [左の値] の下で、[...] ボタンをクリックします。これにより、[フィールドとエントリの選択] ダイアログ ボックスが表示されます。[グループ化] ペインで、[式] をクリックします。[フィールド] ペインで、温度差の式を選択します。[OK] をクリックします。
- [演算子] ドロップダウン リストで、[>] を選択します。
- [右の値] テキスト ボックスで、「2.0」と入力します。
- [OK] をクリックします。
[「IF」式の作成] ダイアログ ボックスで、次の手順を実行します。
- [TRUE の場合の値] 行で、[...] ボタンをクリックし、温度差の式を選択します。
- [TRUE の場合の値] 行で、[自動] ボタンをクリックし、赤色を選択します。
- [FALSE の場合の値] 行で、[...] ボタンをクリックし、温度差の式を選択します。
- [FALSE の場合の値] 行で、[自動] ボタンをクリックし、緑色を選択します。
- [OK] をクリックします。
これで、[式の作成] ダイアログ ボックスに、完成した条件式が表示されました。等号の後にある 2 つの 10 桁の文字列は、カラーを表しています。
[ラベル] テキストボックスに、レポートで式の結果とともに表示するテキストを入力します。[精度] ボックスに、式の結果の小数点以下の桁数を入力します。
[式の作成] ダイアログ ボックスで、[OK] をクリックします。
[式マネジャー] ダイアログ ボックスで、[OK] をクリックします。
これで、作成された温度差の式をレポート内のフィールド オブジェクトや表オブジェクトに挿入できるようになりました。2 つのスポットメーターの測定値に基づいて、温度差の式の結果が赤色または緑色で表示されます。
12.4.4 式のエクスポートとインポート
[FLIR] タブで、[式マネジャー] をクリックします。
[式マネジャー] ダイアログ ボックスが表示されます。
[式マネジャー] ダイアログ ボックスで、次のいずれかを実行します。
- テキスト ファイルから式をインポートするには、[インポート] ボタンをクリックします。
- 1 つまたは複数の式をテキスト ファイルにエクスポートするには、式を選択し、[エクスポート] ボタンをクリックします。
12.5 ドキュメント プロパティ
12.5.1 一般
12.5.2 ドキュメント プロパティの種類
- 概要ドキュメント プロパティ
- ユーザー設定ドキュメント プロパティ
12.5.3 Microsoft Word ドキュメント プロパティの作成および編集
ドキュメント プロパティの作成および編集
FLIR Report Studio ウィザードを開始します。中央のペインで、いずれかのレポート テンプレートをクリックし、[編集] を選択します。これにより、レポート テンプレート (*.dotx) が Microsoft Word で開かれます。
[ファイル] タブで [情報] をクリックします。
[プロパティ] ドロップダウン メニューから、[詳細プロパティ] を選択します。
[ファイルの概要] タブの該当する各テキストボックスに、情報を入力します。
[ユーザー設定] タブをクリックします。
ユーザー設定のプロパティを追加するには、[プロパティ名] ボックスに名前を入力します。ユーザー設定のプロパティを見つけやすくするために、プロパティ名の先頭にはアンダーバー (_) を入力することができます。
[種類] ボックスを使用して、プロパティの種類を指定します。
プロパティの値を指定するには、[値] ボックスにテキストを入力します。
[追加] をクリックして、ユーザー設定のプロパティをプロパティ リストに追加し、[OK] をクリックします。
赤外線レポート テンプレートを別のファイル名を使用して保存します。ただし、同じファイル拡張子 (*.dotx) を使用してください。この作業により、概要およびユーザー設定プロパティが、名前を変更した赤外線レポート テンプレートに保存されます。
12.6 レポートの作成
次の手順に従います。
[FLIR] タブで、[新しいレポート] をクリックします。
これにより、FLIR Report Studio ウィザードが開きます。詳細については、セクション 9 赤外線レポートの作成 を参照してください。
12.7 レポートのエクスポート
- フラット Docx: レポートを拡張子「_flat」のフラット レポートとしてエクスポートします。フラット レポートは、引き続き通常の Microsoft Word の機能を使用して編集できますが、画像、フィールド、表オブジェクトの管理はできなくなります。
- PDF: レポートを、編集できない PDF レポートとしてエクスポートします。
次の手順に従います。
[FLIR] タブの [エクスポート] グループで、矢印をクリックします。これにより、メニューが表示されます。
メニューで、[フラット DocX] または [PDF] を選択します。
12.8 レポート テンプレートの作成
次の手順に従います。
[FLIR] タブで、[新しいテンプレートを作成] をクリックします。
これにより、FLIR Report StudioTemplate Editor が開きます。詳細については、セクション 13 レポート テンプレートの作成 を参照してください。
12.9 カメラ設定を変更する
次の手順に従います。
[FLIR] タブで、[設定] をクリックします。これにより、メニューが表示されます。
メニューで、[単位の設定] をクリックします。これにより、ダイアログ ボックスが表示され、温度単位と距離単位を設定できます。レポート テンプレートで単位が指定されていない場合、[デフォルト] または [未設定] がマークされます。
12.10 ヘルプ メニュー
13 レポート テンプレートの作成
13.1 一般
13.1.1 複数のテンプレートが存在するか?
13.1.2 一般的な構成
- 導入: 会社のロゴ、企業のアイデンティティを示す要素、レポートのタイトル、顧客の名前と住所、サマリー表、含めたい任意の追加の挿絵や情報を含めることなどができる表紙。
- データ: 赤外線画像オブジェクト、デジタル画像オブジェクト、フィールド オブジェクト、表オブジェクトなどの組み合わせを収めた、いくつかの異なるページ。「IR のみ」、「可視画像のみ」、「2 つの IR」、「2 つの IR + 可視画像」など、さまざまな種類のコンテンツを含んだ複数のデータ セクションを含めることができます。
- 最終: 結論、推奨事項、診断、サマリーの説明。
13.1.3 Microsoft Word 環境での作業の注意
13.2 カスタム赤外線画像レポート テンプレートの作成
- 基本的なレポート テンプレートをカスタマイズする
- 既存のレポート テンプレートを修正する
13.2.1 基本的なレポート テンプレートのカスタマイズ
次の手順に従います。
次の手順を実行して、基本的なレポート テンプレートを開きます。
- Microsoft Word ドキュメントの [FLIR] タブで、[新しいテンプレートを作成] をクリックします。
- FLIR Report Studio ウィザードの [テンプレート] ウィンドウで、中央のペインの上部にある
をクリックします。
[導入]、[データ]、[最終] セクションを含む基本的なレイアウトのレポート テンプレートが開きます。
テンプレートにさらに [データ] セクションを追加できます。詳細については、セクション 13.2.4 複数のデータ セクションの追加 を参照してください。
ドキュメントの手順に従って、コンテンツをレポート テンプレートに挿入します。Microsoft Word の既存の機能を使用できます。セクション 12.2 レポートのオブジェクトの管理 の説明に従って、オブジェクトを追加および削除したり、オブジェクトのプロパティを修正したりすることもできます。
レポート テンプレートのカテゴリを選択できます。保存されたレポート テンプレートは、FLIR Report Studio ウィザードの左側のペインで選択したカテゴリの下に表示されます。詳細については、セクション 13.2.5 テンプレート カテゴリの選択 を参照してください。
新しい赤外線レポート テンプレートを保存します。テンプレートは、*.dotx のファイル拡張性で保存してください。
[OK] をクリックします。
13.2.2 既存のテンプレートの修正—FLIR Word Add-in から開始
Microsoft Word を起動します。ただし、すべての赤外線レポートを閉じていることを確認してください。
[FLIR] タブで、[新しいテンプレートを作成] 矢印をクリックします。これにより、メニューが表示されます。
メニューで、[既存のテンプレートから作成] をクリックします。
これにより、[テンプレートを選択] ウィンドウが表示されます。
左側のペインで、[すべてのテンプレート] を選択して、FLIR Report Studio で使用可能なすべてのテンプレートを表示します。
中央のペインで、レポート テンプレートをクリックします。選択したレポート テンプレートの各ページのプレビューが右側のペインに表示されます。
選択したテンプレートを編集するには、ウィンドウの下部にある [OK] をクリックします。
セクション 12.2 レポートのオブジェクトの管理 の説明に従ってオブジェクトを追加および削除したり、オブジェクトのプロパティを修正したりして、オリジナルのテンプレートに変更を加えます。
テンプレートにさらに [データ] セクションを追加できます。詳細については、セクション 13.2.4 複数のデータ セクションの追加 を参照してください。
レポート テンプレートのカテゴリを選択できます。保存されたレポート テンプレートは、FLIR Report Studio ウィザードの左側のペインで選択したカテゴリの下に表示されます。詳細については、セクション 13.2.5 テンプレート カテゴリの選択 を参照してください。
新しい赤外線レポート テンプレートを保存します。テンプレートは、*.dotx のファイル拡張性で保存してください。
13.2.3 既存のテンプレートの修正—FLIR Report Studio ウィザードから開始
FLIR Report Studio ウィザードを開始します。
左側のペインで、[すべてのテンプレート] を選択して、FLIR Report Studio で使用可能なすべてのテンプレートを表示します。
中央のペインで、レポート テンプレートをクリックします。選択したレポート テンプレートの各ページのプレビューが右側のペインに表示されます。
選択したテンプレートで続行するには、中央のペインの上部にある をクリックします。
セクション 12.2 レポートのオブジェクトの管理 の説明に従ってオブジェクトを追加および削除したり、オブジェクトのプロパティを修正したりして、オリジナルのテンプレートに変更を加えます。
テンプレートにさらに [データ] セクションを追加できます。詳細については、セクション 13.2.4 複数のデータ セクションの追加 を参照してください。
レポート テンプレートのカテゴリを選択できます。保存されたレポート テンプレートは、FLIR Report Studio ウィザードの左側のペインで選択したカテゴリの下に表示されます。詳細については、セクション 13.2.5 テンプレート カテゴリの選択 を参照してください。
新しい赤外線レポート テンプレートを保存します。テンプレートは、*.dotx のファイル拡張性で保存してください。
13.2.4 複数のデータ セクションの追加
次の手順に従います。
[FLIR タスク ペイン] で、データ セクションを右クリックし、[テンプレート部品の追加] を選択します。
[テンプレート部品の挿入] ダイアログ ボックスで、新しいセクションの名前を入力します。
完了したら、[OK] をクリックします。
データ セクションの順序を変更するには、[FLIR タスク ペイン] でセクションをドラッグ アンド ドロップします。
データ セクションごとに、赤外線画像オブジェクトまたはデジタル画像オブジェクト、あるいはその両方、フィールド オブジェクト、表オブジェクトなどを追加します。詳細については、セクション 12.2 レポートのオブジェクトの管理 を参照してください。
13.2.5 テンプレート カテゴリの選択
次の手順に従います。
[FLIR] タブで、[設定] 矢印をクリックします。これにより、メニューが表示されます。メニューで、[テンプレート カテゴリ] を選択します。
[テンプレート カテゴリの選択] ダイアログ ボックスで、[デフォルトの作成] ボタンをクリックします。新しいカテゴリを作成するには、[追加] ボタンをクリックします。
1 つまたは複数のカテゴリを選択します。
完了したら、[OK] をクリックします。
14 サポートされるファイル形式
14.1 解析用ファイル形式
- FLIR Systems 解析用 *.jpg.
14.2 非解析用ファイル形式
- *.jpg.
- *.mp4 (ビデオ ファイル)
- *.avi (ビデオ ファイル)
- *.pdf (レポート)
- *.docx (レポートとして使用)
- *.dotx (テンプレート)
15 ソフトウェアの更新
15.1 一般
15.2 手順
次の手順に従います。
次のいずれかを実行します。
- FLIR Report Studio ウィザード内の場合: [Help] メニューで、[Check for updates] を選択します。
- Microsoft Word ドキュメント内の場合: [FLIR] タブで、[設定] 矢印をクリックします。これにより、メニューが表示されます。メニューで、[Help] > [Check for updates] を選択します。
[Check for updates] ダイアログ ボックスが表示されます。
画面の指示に従います。
16 FLIR Systems について
- Extech Instruments (2007年)
- Ifara Tecnologías (2008年)
- Salvador Imaging (2009年)
- OmniTech Partners (2009年)
- Directed Perception (2009年)
- Raymarine (2010年)
- ICx Technologies (2010年)
- TackTick Marine Digital Instruments (2011年)
- Aerius Photonics (2011年)
- Lorex Technology (2012年)
- Traficon (2012年)
- MARSS (2013年)
- DigitalOptics マイクロ オプティックス事業 (2013年)
- DVTEL (2015年)
- Point Grey Research (2016年)
- Prox Dynamics (2016年)

図 16.1 1960 年代前半からの特許文書
16.1 赤外線カメラを超える機能
16.2 知識の共有
16.3 カスタマー サポート
17 用語、法則、および定義
|
用語 |
定義 |
|---|---|
|
IR サーモグラフィ
|
非接触式の赤外線画像機器から熱情報を取得、解析する処理です。
|
|
アイソサーム
|
目盛りの特定の色を対比色に置き換えます。これは同等の見かけ温度の間隔を示します。1
|
|
エネルギー保存2
|
閉鎖系の総エネルギー含量の合計は一定です。
|
|
カラーパレット
|
特定のレベルの見かけ温度を示すために、異なる色が割り当てられます。使用する色に応じて、パレットのコントラストを高くしたり低くしたりできます。
|
|
伝導
|
分子間の熱エネルギーの直接伝導。分子同士の衝突によって発生します。
|
|
入射放射線
|
周囲から物体に当たる放射線です。
|
|
反射見かけ温度
|
ターゲットから IR カメラに反射される環境の見かけ温度です。3
|
|
吸収と放射4
|
入射した放射エネルギーを物体が吸収する能力は、その物体が放射線としてエネルギーを放射する能力と常に等しくなります。
|
|
定性的サーモグラフィ
|
異常の検出とその位置の特定に熱パターンの解析を利用するサーモグラフィです。5
|
|
定量的サーモグラフィ
|
修理の優先順位を設定するために、温度測定を使用して異常の重大性を判断するサーモグラフィです。6
|
|
対流
|
重力または別の力によって流体が動き、この動きによって、ある場所から別の場所に熱が伝わる伝熱方式です。
|
|
放射熱伝導
|
熱放射の放射と吸収による熱伝導です。
|
|
放射率
|
同じ温度と波長で実体が放射する力と黒体が放射する力の比率です。7
|
|
温度
|
物質を構成する分子と原子の平均運動エネルギーの大きさです。
|
|
温度勾配
|
距離に応じた段階的な温度変化です。8
|
|
熱
|
2 つの物体 (系) の温度差により、それらの物体間で伝わる熱エネルギーです。
|
|
熱エネルギー
|
物体を構成する分子の総運動エネルギーです。9
|
|
熱伝導の方向10
|
熱は自然に温度の高い方から低い方に流れるため、ある場所から別の場所に熱エネルギーが移動します。11
|
|
熱伝導率12
|
定常状態条件下では、熱伝導率は物体の熱伝導性、熱が流れる物体の断面積、および物体の両端の温度差に正比例し、物体の長さ (厚さ) に反比例します。13
|
|
熱調整
|
コントラストを最大化するために、解析する物体に画像の色を付加するための処理です。
|
|
発散放射線
|
元の放射源に関係なく、物体の表面を離れる放射線です。
|
|
空間分解能
|
IR カメラが小さい物体や細部を解像する能力です。
|
|
見かけ温度
|
赤外線機器からの非補償型の測定値であり、放射源に関係なく、機器に入射するすべての放射線が含まれます。14
|
|
診断
|
欠陥や不具合の原因を特定するために兆候および症状を検査します。15
|
18 熱測定技術
18.1 はじめに
- 物体の放射率
- 反射源見かけ温度
- 物体とカメラの距離
- 相対湿度
- 大気の温度
18.2 放射率
18.2.1 サンプルの放射率を見つける
18.2.1.1 ステップ1: 反射された明らかな温度の決定
18.2.1.1.1 方法 1: 直接法
- 入射角=反射角 (a = b)を考慮し、考えられる反射源を探してください。
図 18.1 1 =反射源
- 反射源がスポット源の場合、ダンボールなどで遮って反射源を修正してください。
図 18.2 1 =反射源
- 以下の設定を使って、反射源からの放射線の強度 (= 見かけ温度) を計測します。
- 放射率: 1.0
- Dobj: 0
次の 2 つの方法のいずれかを使用して、放射線の強度を測定できます。
18.2.1.1.2 方法 2:反射法
- アルミホイルの大きなシートを細かくします。
- 細かくしないアルミホイルを同じサイズのボール紙に貼り付けます。
- 測定する物体の前に、そのボール紙を置きます。アルミホイルが貼られている面がカメラの側を向いていることを確認します。
- 放射率を 1.0 に設定します。
- アルミホイルの見かけ温度を測定して書き留めます。ホイルは完全な反射鏡とみなされているため、その見かけ温度は、周囲からの反射見かけ温度と同じです。
図 18.5 アルミホイルの見かけ温度を測定します。
18.2.1.2 ステップ2: 放射率の決定
- サンプルを置く場所を選択してください。
- 以前の手順に応じて、反射された明らかな温度を決定及び設定してください。
- サンプル上に高い放射率を持つ電子テープを置いてください。
- サンプルを最低、室温より20K暖めてください。 温めるのは均等でなくてはなりません。
- カメラをフォーカス及び自動調整し、画像をフリーズします。
- レベル と スパン を画像の最高の明るさとコントラスト用に調整します。
- テープの放射率に設定します (通常 0.97)。
- 以下の計測機能のひとつを使って、テープの温度を計測してください。
- アイソサーモ (温度の測定と、サンプルが均等に温まっていることの確認の両方に有用)
- スポット (より単純)
- ボックス平均(異なる放射率を持つ表面に最適)
- 温度を記録します。
- 計測機能をサンプル表面に動かします。
- 以前の計測と同じ温度になるまで放射率設定を変更してください。
- 放射率を記録します。
18.3 反射見かけ温度
18.4 距離
- 対象からの放射が物体とカメラの間の大気によって吸収される
- 大気そのものからの放射がカメラによって検出される
18.5 相対湿度
18.6 その他のパラメータ
- 大気温度 – つまり、カメラと対象物との間の大気の温度
- 外部光学系温度 – つまり、カメラ前面で使用される任意の外部レンズや窓材の温度
- 外部光学系透過率 – つまり、カメラ前面で使用される任意の外部レンズや窓材の伝達率
19 赤外線技術の歴史

図 19.1 William Herschel 卿 (1738–1822)

図 19.2 Marsilio Landriani (1746 ~ 1815)

図 19.3 Macedonio Melloni (1798 ~ 1854)

図 19.4 Samuel P. Langley (1834 ~ 1906)
20 サーモグラフィの理論
20.1 はじめに
20.2 電磁スペクトル

図 20.1 電磁スペクトル。1: X 線、2:紫外線、3:可視像、4:赤外線、5:マイクロ波、6:電波。
20.3 黒体放射

図 20.2 Gustav Robert Kirchhoff (1824 ~ 1887)
20.3.1 Planck の法則

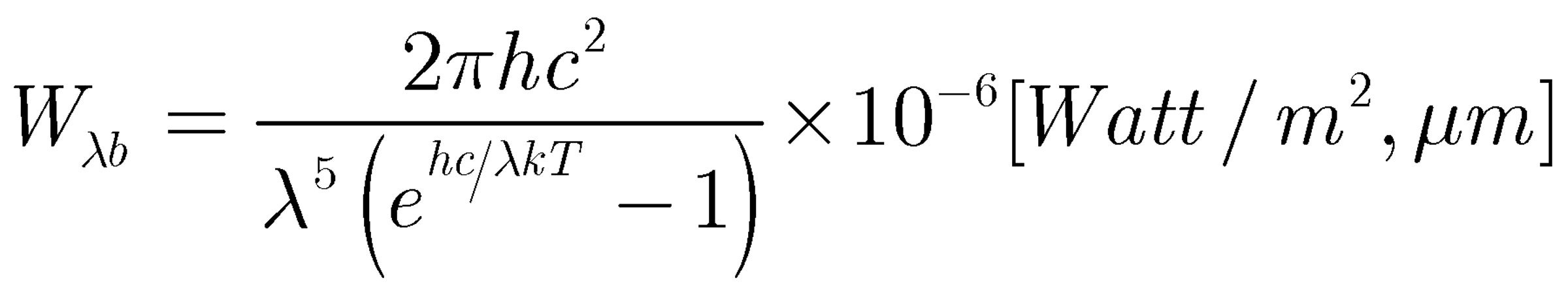
図 20.3 Max Planck (1858 ~ 1947)
|
Wλb
|
波長 λ での黒体スペクトル放射発散度。
|
|
c
|
光速 = 3 × 108 m/s
|
|
h
|
Planck の定数 = 6.6 × 10-34 ジュール秒
|
|
k
|
Boltzmann の定数 = 1.4 × 10-23 ジュール/K
|
|
T
|
黒体の絶対温度 (K)。
|
|
λ
|
波長 (μm)。
|

図 20.4 Planck の法則に従ってさまざまな絶対温度に対して描画された黒体スペクトル放射発散度。1: スペクトル放射発散度 (W/cm2 × 103(μm))、2: 波長 (μm)
20.3.2 Wien の変位の法則

図 20.5 Wilhelm Wien (1864 ~ 1928)

図 20.6 100 K から 1000 K までの半対数目盛で描画された Planckian の曲線。点線は、Wien の変位の法則で説明した各温度での最大放射発散度の軌跡を表しています。1: スペクトル放射発散度 (W/cm2 (μm))、2:波長 (μm)。
20.3.3 Stefan-Boltzmann の法則

図 20.7 Josef Stefan (1835 ~ 1893)、および Ludwig Boltzmann (1844 ~ 1906)
20.3.4 非黒体発散体
- 分光吸収率 αλ = 物体に入射する分光放射と物体が吸収する分光放射の比。
- 分光反射率 ρλ = 物体に入射する分光放射と物体が反射する分光放射の比。
- 分光透過率 τλ = 物体に入射する分光放射と物体を透過する分光放射の比。
- 黒体、 ελ = ε = 1
- 灰色体、ελ = ε = 1 未満の定数
- 選択放射体、ε は波長に応じて変化する

図 20.8 3 種類の放射体の分光放射放射率。1: 分光放射放射率、2:波長、3:黒体、4:選択放射体、5:灰色体。

図 20.9 3 種類の放射体の分光放射率。1: 分光放射率、2:波長、3:黒体、4:灰色体、5:選択放射体。
20.4 赤外線半透過性素材
21 測定演算式

図 21.1 一般的なサーモグラフィ測定状態の図式表示。1:周囲、2:物体、3:大気、4:カメラ
- 物体からの放射 = ετWobj、ここで ε は物体からの放射量を表し、τ は大気の伝達率を表します。物体温度は、Tobj です。
- 周囲からの反射放射 = (1 – ε)τWrefl、ここで (1 – ε) は物体の反射率を表します。外気源の温度は Trefl です。 温度 Trefl は、物体表面上のあるポイントから見える半球内にあるすべての発散表面の温度と同じであると想定されています。もちろん、時にこれは実際の状態を簡素化したものとなります。ただし、これは有効な演算式を得るには必要な簡素化であり、Trefl は (少なくとも論理的には) 複雑な周囲の有効な温度を表した値として付与できます。また、周囲の放射率を 1 と想定していることにも注意してください。これは、Kirchhoff の法則に則った適切な値です。周囲表面上に衝突するすべての放射線は、最終的にその同じ表面によって吸収されます。そのため、放射率は 1 となります。(ただし、最近の論議では、物体周辺の全球を考慮する必要があると言われています。)
- 大気からの放射 = (1 – τ)τWatm、ここで (1 – τ) は大気の放射率を表します。大気の温度は、Tatm です。
テーブル 21.1 電圧
|
Uobj
|
温度 Tobj の黒体に対する計算されたカメラ出力電圧。例: 実際の要求された物体温度に直接変換できる電圧。
|
|
Utot
|
実際の測定されたカメラ出力電圧。
|
|
Urefl
|
キャリブレーション応じた、温度 Trefl の黒体に対する論理上のカメラ出力電圧。
|
|
Uatm
|
キャリブレーション応じた、温度 Tatm の黒体に対する論理上のカメラ出力電圧。
|
- 物体の放射率 ε
- 相対湿度
- Tatm
- 物体の距離 (Dobj)
- 物体周辺の (有効な) 温度または反射周辺温度 Trefl
- 大気の温度Tatm
- τ = 0.88
- Trefl = +20°C
- Tatm = +20°C

図 21.2 変化する測定条件下での放射線源の相対的な大きさ (SW カメラ)。1: 対象物の温度、2: 放射率、Obj: 物体放射、Refl: 反射放射、Atm: 大気放射。固定パラメータ: τ = 0.88、Trefl = 20°C、Tatm = 20°C。

図 21.3 変化する測定条件下での放射線源の相対的な大きさ (LW カメラ)。1: 対象物の温度、2: 放射率、Obj: 物体放射、Refl: 反射放射、Atm: 大気放射。固定パラメータ: τ = 0.88、Trefl = 20°C、Tatm = 20°C。
22 放射率表
22.1 参考文献
- Mikaél A. Bramson: Infrared Radiation, A Handbook for Applications, Plenum press, N.Y.
- William L. Wolfe, George J. Zissis: The Infrared Handbook, Office of Naval Research, Department of Navy, Washington, D.C.
- Madding, R. P.: Thermographic Instruments and systems. Madison, Wisconsin: University of Wisconsin – Extension, Department of Engineering and Applied Science.
- William L. Wolfe: Handbook of Military Infrared Technology, Office of Naval Research, Department of Navy, Washington, D.C.
- Jones, Smith, Probert: External thermography of buildings..., Proc. of the Society of Photo-Optical Instrumentation Engineers, vol.110, Industrial and Civil Applications of Infrared Technology, June 1977 London.
- Paljak, Pettersson: Thermography of Buildings, Swedish Building Research Institute, Stockholm 1972.
- Vlcek, J: Determination of emissivity with imaging radiometers and some emissivities at λ = 5 µm. Photogrammetric Engineering and Remote Sensing.
- Kern: Evaluation of infrared emission of clouds and ground as measured by weather satellites, Defence Documentation Center, AD 617 417.
- Öhman, Claes: Emittansmätningar med AGEMA E-Box. Teknisk rapport, AGEMA 1999. (Emittance measurements using AGEMA E-Box. Technical report, AGEMA 1999.)
- Matteï, S., Tang-Kwor, E: Emissivity measurements for Nextel Velvet coating 811-21 between –36°C AND 82°C.
- Lohrengel & Todtenhaupt (1996)
- ITC Technical publication 32.
- ITC Technical publication 29.
- Schuster, Norbert and Kolobrodov, Valentin G. Infrarotthermographie. Berlin: Wiley-VCH, 2000.
22.2 表
テーブル 22.1 T: 全域スペクトル、SW: 2 ~ 5 µm、LW: 8 ~ 14 µm、LLW: 6.5 ~ 20 µm、1: 材質、2: 仕様、3: 温度 (°C)、4: スペクトル、5: 放射率、6:参照
|
1 |
2 |
3 |
4 |
5 |
6 |
|---|---|---|---|---|---|
|
3M タイプ 35
|
ビニール電気テープ (複数色)
|
< 80
|
LW
|
≈ 0.96
|
13
|
|
3M タイプ 88
|
黒ビニール電気テープ
|
< 105
|
LW
|
≈ 0.96
|
13
|
|
3M タイプ 88
|
黒ビニール電気テープ
|
< 105
|
MW
|
< 0.96
|
13
|
|
3M タイプ Super 33+
|
黒ビニール電気テープ
|
< 80
|
LW
|
≈ 0.96
|
13
|
|
Krylon ウルトラブラック 1602
|
黒色
|
最高 175 の室温
|
LW
|
≈ 0.96
|
12
|
|
Krylon ウルトラブラック 1602
|
黒色
|
最高 175 の室温
|
MW
|
≈ 0.97
|
12
|
|
Nextel Velvet 811-21 黒
|
黒色
|
-60-150
|
LW
|
> 0.97
|
10、11
|
|
アスファルト舗装
|
4
|
LLW
|
0.967
|
8
|
|
|
アスベスト
|
ボード
|
20
|
ト
|
0.96
|
1
|
|
アスベスト
|
床タイル
|
35
|
SW
|
0.94
|
7
|
|
アスベスト
|
石板
|
20
|
ト
|
0.96
|
1
|
|
アスベスト
|
粉末
|
ト
|
0.40-0.60
|
1
|
|
|
アスベスト
|
紙
|
40-400
|
ト
|
0.93-0.95
|
1
|
|
アスベスト
|
織物
|
ト
|
0.78
|
1
|
|
|
アルミニウム
|
HNO3 に浸漬、プレート
|
100
|
ト
|
0.05
|
4
|
|
アルミニウム
|
ざらざらの状態
|
27
|
10 µm
|
0.18
|
3
|
|
アルミニウム
|
ざらざらの状態
|
27
|
3 µm
|
0.28
|
3
|
|
アルミニウム
|
シート、それぞれに違った傷をつけた 4 つのサンプル
|
70
|
SW
|
0.05-0.08
|
9
|
|
アルミニウム
|
シート、それぞれに違った傷をつけた 4 つのサンプル
|
70
|
LW
|
0.03-0.06
|
9
|
|
アルミニウム
|
受入、シート
|
100
|
ト
|
0.09
|
2
|
|
アルミニウム
|
受入、プレート
|
100
|
ト
|
0.09
|
4
|
|
アルミニウム
|
強度に酸化
|
50-500
|
ト
|
0.2-0.3
|
1
|
|
アルミニウム
|
真空蒸着
|
20
|
ト
|
0.04
|
2
|
|
アルミニウム
|
研磨
|
50-100
|
ト
|
0.04-0.06
|
1
|
|
アルミニウム
|
研磨、シート
|
100
|
ト
|
0.05
|
2
|
|
アルミニウム
|
研磨プレート
|
100
|
ト
|
0.05
|
4
|
|
アルミニウム
|
粗い表面
|
20-50
|
ト
|
0.06-0.07
|
1
|
|
アルミニウム
|
金属箔
|
27
|
10 µm
|
0.04
|
3
|
|
アルミニウム
|
金属箔
|
27
|
3 µm
|
0.09
|
3
|
|
アルミニウム
|
鋳込、ブラスト クリーニング済み
|
70
|
SW
|
0.47
|
9
|
|
アルミニウム
|
鋳込、ブラスト クリーニング済み
|
70
|
LW
|
0.46
|
9
|
|
アルミニウム
|
長期にわたり風雨にさらした状態
|
17
|
SW
|
0.83-0.94
|
5
|
|
アルミニウム
|
陽極酸化、明灰色、つやなし
|
70
|
SW
|
0.61
|
9
|
|
アルミニウム
|
陽極酸化、明灰色、つやなし
|
70
|
LW
|
0.97
|
9
|
|
アルミニウム
|
陽極酸化、黒、つやなし
|
70
|
SW
|
0.67
|
9
|
|
アルミニウム
|
陽極酸化、黒、つやなし
|
70
|
LW
|
0.95
|
9
|
|
アルミニウム
|
陽極酸化シート
|
100
|
ト
|
0.55
|
2
|
|
アルミ青銅
|
20
|
ト
|
0.60
|
1
|
|
|
エナメル
|
20
|
ト
|
0.9
|
1
|
|
|
エナメル
|
漆
|
20
|
ト
|
0.85-0.95
|
1
|
|
エボナイト
|
ト
|
0.89
|
1
|
||
|
エメリー
|
荒目
|
80
|
ト
|
0.85
|
1
|
|
ガラス板 (フロート ガラス)
|
コーティングなし
|
20
|
LW
|
0.97
|
14
|
|
クロム
|
研磨
|
50
|
ト
|
0.10
|
1
|
|
クロム
|
研磨
|
500-1000
|
ト
|
0.28-0.38
|
1
|
|
コンクリート
|
20
|
ト
|
0.92
|
2
|
|
|
コンクリート
|
ざらざらの状態
|
17
|
SW
|
0.97
|
5
|
|
コンクリート
|
乾燥
|
36
|
SW
|
0.95
|
7
|
|
コンクリート
|
歩道
|
5
|
LLW
|
0.974
|
8
|
|
ゴム
|
硬質
|
20
|
ト
|
0.95
|
1
|
|
ゴム
|
軟質、灰色、粗目
|
20
|
ト
|
0.95
|
1
|
|
スタッコ
|
粗目、石灰
|
10-90
|
ト
|
0.91
|
1
|
|
ステンレス鋼
|
シート、未処理、多少のひっかき傷
|
70
|
SW
|
0.30
|
9
|
|
ステンレス鋼
|
シート、未処理、多少のひっかき傷
|
70
|
LW
|
0.28
|
9
|
|
ステンレス鋼
|
シート、研磨
|
70
|
SW
|
0.18
|
9
|
|
ステンレス鋼
|
シート、研磨
|
70
|
LW
|
0.14
|
9
|
|
ステンレス鋼
|
タイプ 18-8、800°C で酸化
|
60
|
ト
|
0.85
|
2
|
|
ステンレス鋼
|
タイプ 18-8、もみ皮研磨
|
20
|
ト
|
0.16
|
2
|
|
ステンレス鋼
|
合金、8% ニッケル、18% クロム
|
500
|
ト
|
0.35
|
1
|
|
ステンレス鋼
|
巻き取り
|
700
|
ト
|
0.45
|
1
|
|
ステンレス鋼
|
砂吹き
|
700
|
ト
|
0.70
|
1
|
|
スラグ
|
ボイラー
|
0-100
|
ト
|
0.97-0.93
|
1
|
|
スラグ
|
ボイラー
|
1400-1800
|
ト
|
0.69-0.67
|
1
|
|
スラグ
|
ボイラー
|
200-500
|
ト
|
0.89-0.78
|
1
|
|
スラグ
|
ボイラー
|
600-1200
|
ト
|
0.76-0.70
|
1
|
|
タイル
|
光沢
|
17
|
SW
|
0.94
|
5
|
|
タングステン
|
1500-2200
|
ト
|
0.24-0.31
|
1
|
|
|
タングステン
|
200
|
ト
|
0.05
|
1
|
|
|
タングステン
|
600-1000
|
ト
|
0.1-0.16
|
1
|
|
|
タングステン
|
フィラメント
|
3300
|
ト
|
0.39
|
1
|
|
タール
|
ト
|
0.79-0.84
|
1
|
||
|
タール
|
紙
|
20
|
ト
|
0.91-0.93
|
1
|
|
チタン
|
540°C で酸化
|
1000
|
ト
|
0.60
|
1
|
|
チタン
|
540°C で酸化
|
200
|
ト
|
0.40
|
1
|
|
チタン
|
540°C で酸化
|
500
|
ト
|
0.50
|
1
|
|
チタン
|
研磨
|
1000
|
ト
|
0.36
|
1
|
|
チタン
|
研磨
|
200
|
ト
|
0.15
|
1
|
|
チタン
|
研磨
|
500
|
ト
|
0.20
|
1
|
|
ニクロム
|
巻き取り
|
700
|
ト
|
0.25
|
1
|
|
ニクロム
|
砂吹き
|
700
|
ト
|
0.70
|
1
|
|
ニクロム
|
金属線、清潔
|
50
|
ト
|
0.65
|
1
|
|
ニクロム
|
金属線、清潔
|
500-1000
|
ト
|
0.71-0.79
|
1
|
|
ニクロム
|
金属線、酸化
|
50-500
|
ト
|
0.95-0.98
|
1
|
|
ニッケル
|
600°C で酸化
|
200-600
|
ト
|
0.37-0.48
|
1
|
|
ニッケル
|
商業的純度、研磨
|
100
|
ト
|
0.045
|
1
|
|
ニッケル
|
商業的純度、研磨
|
200-400
|
ト
|
0.07-0.09
|
1
|
|
ニッケル
|
明マット
|
122
|
ト
|
0.041
|
4
|
|
ニッケル
|
研磨
|
122
|
ト
|
0.045
|
4
|
|
ニッケル
|
酸化
|
1227
|
ト
|
0.85
|
4
|
|
ニッケル
|
酸化
|
200
|
ト
|
0.37
|
2
|
|
ニッケル
|
酸化
|
227
|
ト
|
0.37
|
4
|
|
ニッケル
|
金属線
|
200-1000
|
ト
|
0.1-0.2
|
1
|
|
ニッケル
|
鉄に電気めっき、未研磨
|
20
|
ト
|
0.11-0.40
|
1
|
|
ニッケル
|
鉄に電気めっき、未研磨
|
22
|
ト
|
0.11
|
4
|
|
ニッケル
|
鉄に電気めっき、研磨
|
22
|
ト
|
0.045
|
4
|
|
ニッケル
|
電気めっき、研磨
|
20
|
ト
|
0.05
|
2
|
|
ニッケル
|
電気分解
|
22
|
ト
|
0.04
|
4
|
|
ニッケル
|
電気分解
|
260
|
ト
|
0.07
|
4
|
|
ニッケル
|
電気分解
|
38
|
ト
|
0.06
|
4
|
|
ニッケル
|
電気分解
|
538
|
ト
|
0.10
|
4
|
|
ブリキ
|
シート
|
24
|
ト
|
0.064
|
4
|
|
プラスチック
|
PVC、プラスチックの床、つやなし、構造体
|
70
|
SW
|
0.94
|
9
|
|
プラスチック
|
PVC、プラスチックの床、つやなし、構造体
|
70
|
LW
|
0.93
|
9
|
|
プラスチック
|
ガラス繊維薄板 (印刷済みシルクボード)
|
70
|
SW
|
0.94
|
9
|
|
プラスチック
|
ガラス繊維薄板 (印刷済みシルクボード)
|
70
|
LW
|
0.91
|
9
|
|
プラスチック
|
ポリウレタン隔離板
|
70
|
LW
|
0.55
|
9
|
|
プラスチック
|
ポリウレタン隔離板
|
70
|
SW
|
0.29
|
9
|
|
ボール紙
|
未処理
|
20
|
SW
|
0.90
|
6
|
|
マグネシウム
|
22
|
ト
|
0.07
|
4
|
|
|
マグネシウム
|
260
|
ト
|
0.13
|
4
|
|
|
マグネシウム
|
538
|
ト
|
0.18
|
4
|
|
|
マグネシウム
|
研磨
|
20
|
ト
|
0.07
|
2
|
|
マグネシウム粉
|
ト
|
0.86
|
1
|
||
|
モリブデン
|
1500-2200
|
ト
|
0.19-0.26
|
1
|
|
|
モリブデン
|
600-1000
|
ト
|
0.08-0.13
|
1
|
|
|
モリブデン
|
フィラメント
|
700-2500
|
ト
|
0.1-0.3
|
1
|
|
モルタル
|
17
|
SW
|
0.87
|
5
|
|
|
モルタル
|
乾燥
|
36
|
SW
|
0.94
|
7
|
|
レンガ
|
アルミナ
|
17
|
SW
|
0.68
|
5
|
|
レンガ
|
シリカ、95% SiO2
|
1230
|
ト
|
0.66
|
1
|
|
レンガ
|
シリマナイト、33% SiO2、64% Al2O3
|
1500
|
ト
|
0.29
|
1
|
|
レンガ
|
ディナス シリカ、低光沢、ざらざらの状態
|
1000
|
ト
|
0.80
|
1
|
|
レンガ
|
ディナス シリカ、光沢、ざらざらの状態
|
1100
|
ト
|
0.85
|
1
|
|
レンガ
|
ディナス シリカ、耐火
|
1000
|
ト
|
0.66
|
1
|
|
レンガ
|
共通
|
17
|
SW
|
0.86-0.81
|
5
|
|
レンガ
|
石造り
|
35
|
SW
|
0.94
|
7
|
|
レンガ
|
石造り、漆喰
|
20
|
ト
|
0.94
|
1
|
|
レンガ
|
耐水
|
17
|
SW
|
0.87
|
5
|
|
レンガ
|
耐火、わずかに放射
|
500-1000
|
ト
|
0.65-0.75
|
1
|
|
レンガ
|
耐火、コランダム
|
1000
|
ト
|
0.46
|
1
|
|
レンガ
|
耐火、マグネサイト
|
1000-1300
|
ト
|
0.38
|
1
|
|
レンガ
|
耐火、強度に放射
|
500-1000
|
ト
|
0.8-0.9
|
1
|
|
レンガ
|
耐火煉瓦
|
17
|
SW
|
0.68
|
5
|
|
レンガ
|
耐火粘土
|
1000
|
ト
|
0.75
|
1
|
|
レンガ
|
耐火粘土
|
1200
|
ト
|
0.59
|
1
|
|
レンガ
|
耐火粘土
|
20
|
ト
|
0.85
|
1
|
|
レンガ
|
赤、ざらざらの状態
|
20
|
ト
|
0.88-0.93
|
1
|
|
レンガ
|
赤、共通
|
20
|
ト
|
0.93
|
2
|
|
ワニス
|
ぶな材の寄木床上
|
70
|
SW
|
0.90
|
9
|
|
ワニス
|
ぶな材の寄木床上
|
70
|
LW
|
0.90-0.93
|
9
|
|
ワニス
|
平坦
|
20
|
SW
|
0.93
|
6
|
|
二酸化銅
|
粉末
|
ト
|
0.84
|
1
|
|
|
亜鉛
|
400°C で酸化
|
400
|
ト
|
0.11
|
1
|
|
亜鉛
|
シート
|
50
|
ト
|
0.20
|
1
|
|
亜鉛
|
研磨
|
200-300
|
ト
|
0.04-0.05
|
1
|
|
亜鉛
|
表面が酸化
|
1000-1200
|
ト
|
0.50-0.60
|
1
|
|
亜鉛めっき鉄
|
シート
|
92
|
ト
|
0.07
|
4
|
|
亜鉛めっき鉄
|
シート、光沢
|
30
|
ト
|
0.23
|
1
|
|
亜鉛めっき鉄
|
シート、酸化
|
20
|
ト
|
0.28
|
1
|
|
亜鉛めっき鉄
|
強度に酸化
|
70
|
SW
|
0.64
|
9
|
|
亜鉛めっき鉄
|
強度に酸化
|
70
|
LW
|
0.85
|
9
|
|
土
|
乾燥
|
20
|
ト
|
0.92
|
2
|
|
土
|
水がしみこんだ状態
|
20
|
ト
|
0.95
|
2
|
|
塗料
|
8 色で品質もさまざま
|
70
|
SW
|
0.88-0.96
|
9
|
|
塗料
|
8 色で品質もさまざま
|
70
|
LW
|
0.92-0.94
|
9
|
|
塗料
|
アルミニウム、さまざまな経過年数
|
50-100
|
ト
|
0.27-0.67
|
1
|
|
塗料
|
オイル ベース、平均 16 色
|
100
|
ト
|
0.94
|
2
|
|
塗料
|
カドミウム イエロー
|
ト
|
0.28-0.33
|
1
|
|
|
塗料
|
クロム緑
|
ト
|
0.65-0.70
|
1
|
|
|
塗料
|
コバルト ブルー
|
ト
|
0.7-0.8
|
1
|
|
|
塗料
|
プラスチック、白
|
20
|
SW
|
0.84
|
6
|
|
塗料
|
プラスチック、黒
|
20
|
SW
|
0.95
|
6
|
|
塗料
|
油
|
17
|
SW
|
0.87
|
5
|
|
塗料
|
油、多色
|
100
|
ト
|
0.92-0.96
|
1
|
|
塗料
|
油、灰色光沢
|
20
|
SW
|
0.96
|
6
|
|
塗料
|
油、灰色平坦
|
20
|
SW
|
0.97
|
6
|
|
塗料
|
油、黒光沢
|
20
|
SW
|
0.92
|
6
|
|
塗料
|
油、黒色平坦
|
20
|
SW
|
0.94
|
6
|
|
壁紙
|
薄い模様、明灰色
|
20
|
SW
|
0.85
|
6
|
|
壁紙
|
薄い模様、赤
|
20
|
SW
|
0.90
|
6
|
|
布
|
黒
|
20
|
ト
|
0.98
|
1
|
|
木材
|
17
|
SW
|
0.98
|
5
|
|
|
木材
|
19
|
LLW
|
0.962
|
8
|
|
|
木材
|
ベニヤ合板、平滑、乾燥
|
36
|
SW
|
0.82
|
7
|
|
木材
|
ベニヤ合板、未処理
|
20
|
SW
|
0.83
|
6
|
|
木材
|
地面
|
ト
|
0.5-0.7
|
1
|
|
|
木材
|
松材、4 つのサンプル
|
70
|
SW
|
0.67-0.75
|
9
|
|
木材
|
松材、4 つのサンプル
|
70
|
LW
|
0.81-0.89
|
9
|
|
木材
|
白、湿った状態
|
20
|
ト
|
0.7-0.8
|
1
|
|
木材
|
面状
|
20
|
ト
|
0.8-0.9
|
1
|
|
木材
|
面状ぶな材
|
20
|
ト
|
0.90
|
2
|
|
木材
|
面状ぶな材
|
70
|
SW
|
0.77
|
9
|
|
木材
|
面状ぶな材
|
70
|
LW
|
0.88
|
9
|
|
水
|
1 層 >0.1 mm の厚さ
|
0-100
|
ト
|
0.95-0.98
|
1
|
|
水
|
氷、滑らか
|
-10
|
ト
|
0.96
|
2
|
|
水
|
氷、滑らか
|
0
|
ト
|
0.97
|
1
|
|
水
|
氷、表面に多量の霜
|
0
|
ト
|
0.98
|
1
|
|
水
|
蒸留
|
20
|
ト
|
0.96
|
2
|
|
水
|
雪
|
ト
|
0.8
|
1
|
|
|
水
|
雪
|
-10
|
ト
|
0.85
|
2
|
|
水
|
霜の結晶体
|
-10
|
ト
|
0.98
|
2
|
|
水酸化アルミニウム
|
粉末
|
ト
|
0.28
|
1
|
|
|
氷: 水を参照
|
|||||
|
油、潤滑用
|
0.025 mm の薄膜
|
20
|
ト
|
0.27
|
2
|
|
油、潤滑用
|
0.050 mm の薄膜
|
20
|
ト
|
0.46
|
2
|
|
油、潤滑用
|
0.125 mm の薄膜
|
20
|
ト
|
0.72
|
2
|
|
油、潤滑用
|
ニッケルベース上の薄膜: ニッケル ベースのみ
|
20
|
ト
|
0.05
|
2
|
|
油、潤滑用
|
厚塗り
|
20
|
ト
|
0.82
|
2
|
|
漆
|
3 色でアルミニウム上に吹き付け
|
70
|
SW
|
0.50-0.53
|
9
|
|
漆
|
3 色でアルミニウム上に吹き付け
|
70
|
LW
|
0.92-0.94
|
9
|
|
漆
|
ざらざらの表面上のアルミニウム
|
20
|
ト
|
0.4
|
1
|
|
漆
|
フェノール樹脂
|
80
|
ト
|
0.83
|
1
|
|
漆
|
白
|
100
|
ト
|
0.92
|
2
|
|
漆
|
白
|
40-100
|
ト
|
0.8-0.95
|
1
|
|
漆
|
耐熱
|
100
|
ト
|
0.92
|
1
|
|
漆
|
黒、つやあり、鉄に吹き付け
|
20
|
ト
|
0.87
|
1
|
|
漆
|
黒、つやなし
|
40-100
|
ト
|
0.96-0.98
|
1
|
|
漆
|
黒、マット
|
100
|
ト
|
0.97
|
2
|
|
漆喰
|
17
|
SW
|
0.86
|
5
|
|
|
漆喰
|
石膏ボード、未処理
|
20
|
SW
|
0.90
|
6
|
|
漆喰
|
粗目コート
|
20
|
ト
|
0.91
|
2
|
|
炭素
|
ろうそくの煤煙
|
20
|
ト
|
0.95
|
2
|
|
炭素
|
油煙
|
20-400
|
ト
|
0.95-0.97
|
1
|
|
炭素
|
炭粉
|
ト
|
0.96
|
1
|
|
|
炭素
|
黒鉛、表面にやすりをかけたもの
|
20
|
ト
|
0.98
|
2
|
|
炭素
|
黒鉛粉
|
ト
|
0.97
|
1
|
|
|
発泡スチロール
|
絶縁
|
37
|
SW
|
0.60
|
7
|
|
白金
|
100
|
ト
|
0.05
|
4
|
|
|
白金
|
1000-1500
|
ト
|
0.14-0.18
|
1
|
|
|
白金
|
1094
|
ト
|
0.18
|
4
|
|
|
白金
|
17
|
ト
|
0.016
|
4
|
|
|
白金
|
22
|
ト
|
0.03
|
4
|
|
|
白金
|
260
|
ト
|
0.06
|
4
|
|
|
白金
|
538
|
ト
|
0.10
|
4
|
|
|
白金
|
リボン
|
900-1100
|
ト
|
0.12-0.17
|
1
|
|
白金
|
純粋、研磨
|
200-600
|
ト
|
0.05-0.10
|
1
|
|
白金
|
金属線
|
1400
|
ト
|
0.18
|
1
|
|
白金
|
金属線
|
50-200
|
ト
|
0.06-0.07
|
1
|
|
白金
|
金属線
|
500-1000
|
ト
|
0.10-0.16
|
1
|
|
皮膚
|
人間
|
32
|
ト
|
0.98
|
2
|
|
皮革
|
褐色
|
ト
|
0.75-0.80
|
1
|
|
|
真鍮
|
600°C で酸化
|
200-600
|
ト
|
0.59-0.61
|
1
|
|
真鍮
|
80 グリットのエメリーで摩擦
|
20
|
ト
|
0.20
|
2
|
|
真鍮
|
つやなし、変色
|
20-350
|
ト
|
0.22
|
1
|
|
真鍮
|
シート、エメリーにて処理
|
20
|
ト
|
0.2
|
1
|
|
真鍮
|
シート、巻き取り
|
20
|
ト
|
0.06
|
1
|
|
真鍮
|
十分に研磨済み
|
100
|
ト
|
0.03
|
2
|
|
真鍮
|
研磨
|
200
|
ト
|
0.03
|
1
|
|
真鍮
|
酸化
|
100
|
ト
|
0.61
|
2
|
|
真鍮
|
酸化
|
70
|
SW
|
0.04-0.09
|
9
|
|
真鍮
|
酸化
|
70
|
LW
|
0.03-0.07
|
9
|
|
石灰
|
ト
|
0.3-0.4
|
1
|
||
|
石膏
|
20
|
ト
|
0.8-0.9
|
1
|
|
|
砂
|
ト
|
0.60
|
1
|
||
|
砂
|
20
|
ト
|
0.90
|
2
|
|
|
砂岩
|
ざらざらの状態
|
19
|
LLW
|
0.935
|
8
|
|
砂岩
|
研磨
|
19
|
LLW
|
0.909
|
8
|
|
磁器
|
光沢
|
20
|
ト
|
0.92
|
1
|
|
磁器
|
白、つやあり
|
ト
|
0.70-0.75
|
1
|
|
|
粘土
|
燃焼
|
70
|
ト
|
0.91
|
1
|
|
紙
|
4 色
|
70
|
SW
|
0.68-0.74
|
9
|
|
紙
|
4 色
|
70
|
LW
|
0.92-0.94
|
9
|
|
紙
|
白
|
20
|
ト
|
0.7-0.9
|
1
|
|
紙
|
白、3 種類の光沢
|
70
|
SW
|
0.76-0.78
|
9
|
|
紙
|
白、3 種類の光沢
|
70
|
LW
|
0.88-0.90
|
9
|
|
紙
|
白色接着剤
|
20
|
ト
|
0.93
|
2
|
|
紙
|
緑
|
ト
|
0.85
|
1
|
|
|
紙
|
赤
|
ト
|
0.76
|
1
|
|
|
紙
|
青、暗色
|
ト
|
0.84
|
1
|
|
|
紙
|
黄色
|
ト
|
0.72
|
1
|
|
|
紙
|
黒
|
ト
|
0.90
|
1
|
|
|
紙
|
黒、つやなし
|
ト
|
0.94
|
1
|
|
|
紙
|
黒、つやなし
|
70
|
SW
|
0.86
|
9
|
|
紙
|
黒、つやなし
|
70
|
LW
|
0.89
|
9
|
|
紙
|
黒漆で上塗り
|
ト
|
0.93
|
1
|
|
|
繊維板
|
チップボード
|
70
|
SW
|
0.77
|
9
|
|
繊維板
|
チップボード
|
70
|
LW
|
0.89
|
9
|
|
繊維板
|
メゾナイト
|
70
|
SW
|
0.75
|
9
|
|
繊維板
|
メゾナイト
|
70
|
LW
|
0.88
|
9
|
|
繊維板
|
多孔、未処理
|
20
|
SW
|
0.85
|
6
|
|
繊維板
|
硬質、未処理
|
20
|
SW
|
0.85
|
6
|
|
花崗岩
|
ざらざらの状態
|
21
|
LLW
|
0.879
|
8
|
|
花崗岩
|
ざらざらの状態、4 つのサンプル
|
70
|
SW
|
0.95-0.97
|
9
|
|
花崗岩
|
ざらざらの状態、4 つのサンプル
|
70
|
LW
|
0.77-0.87
|
9
|
|
花崗岩
|
研磨
|
20
|
LLW
|
0.849
|
8
|
|
酸化アルミニウム
|
活性、粉末
|
ト
|
0.46
|
1
|
|
|
酸化アルミニウム
|
純粋、粉末 (アルミナ)
|
ト
|
0.16
|
1
|
|
|
酸化ニッケル
|
1000-1250
|
ト
|
0.75-0.86
|
1
|
|
|
酸化ニッケル
|
500-650
|
ト
|
0.52-0.59
|
1
|
|
|
酸化銅
|
赤、粉末
|
ト
|
0.70
|
1
|
|
|
金
|
入念に研磨
|
200-600
|
ト
|
0.02-0.03
|
1
|
|
金
|
十分に研磨済み
|
100
|
ト
|
0.02
|
2
|
|
金
|
研磨
|
130
|
ト
|
0.018
|
1
|
|
鉄、鋳込
|
600°C で酸化
|
200-600
|
ト
|
0.64-0.78
|
1
|
|
鉄、鋳込
|
インゴット
|
1000
|
ト
|
0.95
|
1
|
|
鉄、鋳込
|
未加工
|
900-1100
|
ト
|
0.87-0.95
|
1
|
|
鉄、鋳込
|
機械仕上げ
|
800-1000
|
ト
|
0.60-0.70
|
1
|
|
鉄、鋳込
|
液状
|
1300
|
ト
|
0.28
|
1
|
|
鉄、鋳込
|
研磨
|
200
|
ト
|
0.21
|
1
|
|
鉄、鋳込
|
研磨
|
38
|
ト
|
0.21
|
4
|
|
鉄、鋳込
|
研磨
|
40
|
ト
|
0.21
|
2
|
|
鉄、鋳込
|
酸化
|
100
|
ト
|
0.64
|
2
|
|
鉄、鋳込
|
酸化
|
260
|
ト
|
0.66
|
4
|
|
鉄、鋳込
|
酸化
|
38
|
ト
|
0.63
|
4
|
|
鉄、鋳込
|
酸化
|
538
|
ト
|
0.76
|
4
|
|
鉄、鋳込
|
鋳造
|
50
|
ト
|
0.81
|
1
|
|
鉄鋼
|
ざらざらの状態、平面
|
50
|
ト
|
0.95-0.98
|
1
|
|
鉄鋼
|
つやあり、腐食
|
150
|
ト
|
0.16
|
1
|
|
鉄鋼
|
つやあり酸化層、シート
|
20
|
ト
|
0.82
|
1
|
|
鉄鋼
|
低温巻き取り
|
70
|
SW
|
0.20
|
9
|
|
鉄鋼
|
低温巻き取り
|
70
|
LW
|
0.09
|
9
|
|
鉄鋼
|
加工済み、入念に研磨
|
40-250
|
ト
|
0.28
|
1
|
|
鉄鋼
|
巻き取り、処理したて
|
20
|
ト
|
0.24
|
1
|
|
鉄鋼
|
巻き取りシート
|
50
|
ト
|
0.56
|
1
|
|
鉄鋼
|
強度に酸化
|
50
|
ト
|
0.88
|
1
|
|
鉄鋼
|
強度に酸化
|
500
|
ト
|
0.98
|
1
|
|
鉄鋼
|
接地シート
|
950-1100
|
ト
|
0.55-0.61
|
1
|
|
鉄鋼
|
新たにエメリーにて処理
|
20
|
ト
|
0.24
|
1
|
|
鉄鋼
|
研磨
|
100
|
ト
|
0.07
|
2
|
|
鉄鋼
|
研磨
|
400-1000
|
ト
|
0.14-0.38
|
1
|
|
鉄鋼
|
研磨したシート
|
750-1050
|
ト
|
0.52-0.56
|
1
|
|
鉄鋼
|
赤錆の付いた状態
|
20
|
ト
|
0.61-0.85
|
1
|
|
鉄鋼
|
赤錆付き、シート
|
22
|
ト
|
0.69
|
4
|
|
鉄鋼
|
酸化
|
100
|
ト
|
0.74
|
4
|
|
鉄鋼
|
酸化
|
100
|
ト
|
0.74
|
1
|
|
鉄鋼
|
酸化
|
1227
|
ト
|
0.89
|
4
|
|
鉄鋼
|
酸化
|
125-525
|
ト
|
0.78-0.82
|
1
|
|
鉄鋼
|
酸化
|
200
|
ト
|
0.79
|
2
|
|
鉄鋼
|
酸化
|
200-600
|
ト
|
0.80
|
1
|
|
鉄鋼
|
重度に錆びたシート
|
20
|
ト
|
0.69
|
2
|
|
鉄鋼
|
重度に錆付き
|
17
|
SW
|
0.96
|
5
|
|
鉄鋼
|
錆びた状態、赤
|
20
|
ト
|
0.69
|
1
|
|
鉄鋼
|
電気分解
|
100
|
ト
|
0.05
|
4
|
|
鉄鋼
|
電気分解
|
22
|
ト
|
0.05
|
4
|
|
鉄鋼
|
電気分解
|
260
|
ト
|
0.07
|
4
|
|
鉄鋼
|
電解、入念に研磨
|
175-225
|
ト
|
0.05-0.06
|
1
|
|
鉄鋼
|
高温巻き取り
|
130
|
ト
|
0.60
|
1
|
|
鉄鋼
|
高温巻き取り
|
20
|
ト
|
0.77
|
1
|
|
鉛
|
200°C で酸化
|
200
|
ト
|
0.63
|
1
|
|
鉛
|
つやあり
|
250
|
ト
|
0.08
|
1
|
|
鉛
|
酸化、灰色
|
20
|
ト
|
0.28
|
1
|
|
鉛
|
酸化、灰色
|
22
|
ト
|
0.28
|
4
|
|
鉛
|
非酸化、研磨
|
100
|
ト
|
0.05
|
4
|
|
鉛赤
|
100
|
ト
|
0.93
|
4
|
|
|
鉛赤、粉末
|
100
|
ト
|
0.93
|
1
|
|
|
銀
|
研磨
|
100
|
ト
|
0.03
|
2
|
|
銀
|
純粋、研磨
|
200-600
|
ト
|
0.02-0.03
|
1
|
|
銅
|
商用、光沢
|
20
|
ト
|
0.07
|
1
|
|
銅
|
強度に酸化
|
20
|
ト
|
0.78
|
2
|
|
銅
|
擦り傷
|
27
|
ト
|
0.07
|
4
|
|
銅
|
暗黒色に酸化
|
ト
|
0.88
|
1
|
|
|
銅
|
溶解
|
1100-1300
|
ト
|
0.13-0.15
|
1
|
|
銅
|
研磨
|
50-100
|
ト
|
0.02
|
1
|
|
銅
|
研磨
|
100
|
ト
|
0.03
|
2
|
|
銅
|
研磨、商用
|
27
|
ト
|
0.03
|
4
|
|
銅
|
研磨、機械用
|
22
|
ト
|
0.015
|
4
|
|
銅
|
純粋、表面は入念に準備
|
22
|
ト
|
0.008
|
4
|
|
銅
|
酸化
|
50
|
ト
|
0.6-0.7
|
1
|
|
銅
|
酸化、黒
|
27
|
ト
|
0.78
|
4
|
|
銅
|
電解、入念に研磨
|
80
|
ト
|
0.018
|
1
|
|
銅
|
電解、研磨
|
-34
|
ト
|
0.006
|
4
|
|
錫
|
光沢
|
20-50
|
ト
|
0.04-0.06
|
1
|
|
錫
|
錫めっきしたシート状の鉄
|
100
|
ト
|
0.07
|
2
|
|
雪: 水を参照
|
|||||
|
青銅
|
多孔、ざらざらの状態
|
50-150
|
ト
|
0.55
|
1
|
|
青銅
|
燐銅
|
70
|
SW
|
0.08
|
9
|
|
青銅
|
燐銅
|
70
|
LW
|
0.06
|
9
|
|
青銅
|
研磨
|
50
|
ト
|
0.1
|
1
|
|
青銅
|
粉末
|
ト
|
0.76-0.80
|
1
|
Admin
| Publ. No. | T810197 |
| Release | AD |
| Commit | 45477 |
| Head | 45488 |
| Language | ja-JP |
| Modified | 2017-09-27 |
| Formatted | 2017-09-27 |










































































